Test 2 (Chapter 3) Flashcards

(56 cards)

1
Q

What is the term for a measure of how much hep a machine provides?

A

mechanical advantage

How well did you know this?
1
Not at all
2
3
4
5
Perfectly
2
Q

What is the space relative to which motion is measured?

A

frame of reference

How well did you know this?
1
Not at all
2
3
4
5
Perfectly
3
Q

What is a simple machine consisting of a wheel over which a rope or cable passes?

A

pulley

How well did you know this?
1
Not at all
2
3
4
5
Perfectly
4
Q

The center-seeking force that cause an object to travel in a curved path is called ___.

A

centripetal force

How well did you know this?
1
Not at all
2
3
4
5
Perfectly
5
Q

What is Newton’s 1st law of motion?

A

the velocity of an object does not change unless the object is acted upon by an external force

How well did you know this?
1
Not at all
2
3
4
5
Perfectly
6
Q

Newton’s second law of motion

A
How well did you know this?
1
Not at all
2
3
4
5
Perfectly
7
Q

Whose teachings dominated scientific thought for almost two thousand years?

A

Aristotle

How well did you know this?
1
Not at all
2
3
4
5
Perfectly
8
Q

What SI unit is used to measure power?

A

watt

How well did you know this?
1
Not at all
2
3
4
5
Perfectly
9
Q

What type of quantity consists of only a magnitude, with no direction?

A

scalar

How well did you know this?
1
Not at all
2
3
4
5
Perfectly
10
Q

What is the study of motion and forces?

A

dynamics

How well did you know this?
1
Not at all
2
3
4
5
Perfectly
11
Q

What is the output distance of a screw?

A

distance between two adjacent threads (pitch)

How well did you know this?
1
Not at all
2
3
4
5
Perfectly
12
Q

What is a combination of one or more fixed pulleys and one or more movable pulleys called?

A

block and tackle

How well did you know this?
1
Not at all
2
3
4
5
Perfectly
13
Q

What type of friction affects a sliding object already in motion?

A

kinetic (friction)

How well did you know this?
1
Not at all
2
3
4
5
Perfectly
14
Q

the rate of doing work

A
How well did you know this?
1
Not at all
2
3
4
5
Perfectly
15
Q

What is the SI unit of work?

A

joule

How well did you know this?
1
Not at all
2
3
4
5
Perfectly
16
Q

What would be a good way to increase the efficiency of a machine?

A

reduce the friction of the machine

How well did you know this?
1
Not at all
2
3
4
5
Perfectly
17
Q

What term do physicists use to refer to any change in velocity

A

acceleration

How well did you know this?
1
Not at all
2
3
4
5
Perfectly
18
Q

What quantity of motion is defined as the product of an object’s mass and velocity?

A

momentum

How well did you know this?
1
Not at all
2
3
4
5
Perfectly
19
Q
A

Newton’s second law of motion

How well did you know this?
1
Not at all
2
3
4
5
Perfectly
20
Q

What type of friction affects stationary objects, preventing them from moving?

A

static friction

How well did you know this?
1
Not at all
2
3
4
5
Perfectly
21
Q

The distance an object travels per unit of time is ___.

A

speed

How well did you know this?
1
Not at all
2
3
4
5
Perfectly
22
Q

the magnitude of kinetic friction force

A
How well did you know this?
1
Not at all
2
3
4
5
Perfectly
23
Q

Who discovered the laws of motion and gravitation, laying the foundation for much of modern physical science?

24
Q

What is the velocity at which air resistance stops a falling object from accelerating?

A

terminal velocity

25
Together, the branches of physics discovered before 1900 are called
classical physics
26
What branch of physics addresses the effects of forces on matter?
mechanics
27
the ideal mechanical advantage of a screw
28
The measure of how well a machine converts input work to output work is ___.
efficiency
29
What is the term for devices used to multiply force for the purpose of doing work?
machines
30
the measure of how quickly an object moves
31
What is the rate of doing work?
power
32
What is Newton's 2nd law of motion?
the force required to accelerate an object at a certain rate equals the object's mass times the desired acceleration
33
The simple machine which is like an inclined plane that modifies the applied force and directs it to the side is the ___.
wedge
34
Name three forms of assistance that a simple machine can provide?
multiply an applied force, multiply the distance of a force moves something, change the direction of a force
35
the momentum of an object
36
Describe the relationship between work and energy.
work is the transfer of energy from one object to another by a force
37
the weight of an object found using Newton's second law and gravity
38
calculating energy transferred from one object to another by force
39
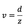
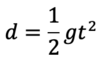
the relationship between free-fall distance and the acceleration of gravity
40
the general formula for mechanical advantage under ideal conditions
41
What principle states that for every action there is an equal and opposite reaction
Newton's third law of motion
42
What quantity represents any change in an object's position?
scalar
43
What simple machine is a sloping surface that allows an object to be raised without being lifted straight up?
inclined plan
44
calculating energy transferred from one object to another by force
45
the measure of how well a machine converts input into output work
46
What device is considered a circular lever and can be used to multiply distance, speed, or force?
wheel and axle
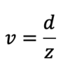
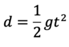
47
the relationship between free-fall distance and the acceleration of gravity
48
An object that hangs from a fixed point and swings back and forth because of gravity is a(n) ___.
pendulum
49
What is the attractive force that exists between any two bodies and is caused by their mass?
gravitational force
50
What is Newton's 3rd law of motion?
for every action there is an equal and opposite reaction
51
What principle states that the velocity of an object does not change unless the object is acted upon by an external force?
Newton's first law of motion
52
What is any mathematical quantity that has both magnitude and direction?
vector
53
the weight of an object found using Newton's second law and gravity
54
the measure of how quickly an object moves
55
the momentum of an object
56
How are levers classified?
arrangement of the input arm, output ar, and fulcrum