keto-enol tautomerization
rapidly interconverting structural isomers that establish an equilibrium under acidic or basic conditions. Typically the keto form is favored unless the enol form can hydrogen bond.

Acid-catalyzed halogenation of ketones

Haloform Reaction
Alpha halogenation under basic conditions
Haloform is formed when you have a methyl ketone and react it with Br2 - you will get multiple halogenations and the haloform will be formed as a result of -CBr3 being kicked out as the leaving group and then protonated.
Alpha Halogenation under Basic conditions
Can use NaOH or LDA to make the enolate. If using excess Br2, you can get multiple halogenations at the alpha carbon. If you want only 1 halogenation, use 1 molar equivalent of Br2 (or whatever halogen).
NaOH vs. LDA
NaOH will deprotonate the more sterically hindered alpha carbon, resulting in the thermodynamic (more stable) enolate. LDA will deprotonate the less sterically hindered alpha carbon (b/c LDA is big and bulky) and results in the kinetic enolate.
Alkylation of enolates
Use LDA or NaOH to form enolate and then alkylate using an alkyl halide.
Aldol Addition
Ketone or aldehyde treated with NaOH and H2O results in a Beta-hydroxyaldehyde (or B-hydroxyketone)
Retro Aldol
B-hydroxyaldehyde –> aldehyde
B-hydroxyketone –> ketone
Treat with NaOH and H2O
Aldol Condensation
Aldol Addition + dehydration
Starting material: aldehyde or ketone
Treat with: NaOH, H2O, heat
Product: alpha, beta-unsaturated carbonyl
Claisen Condensation
Ester treated with 1. NaOR (R group needs to be the same as the R group that’s attached to the ester oxygen in the starting compound).
Product: B-keto ester (1,3 dicarbonyl)
Note: you need 2 alpha hydrogens for this reaction to go to completion
Dieckmann
Intramolecular Claisen Condensation
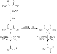
Malonic Ester synthesis
Product: modified carboxylic acid (carboxylic acid with an R group)

Acetoacetic Ester synthesis
Similar to malonic acid synthesis, except the product is a modified methyl ketone instead of carboxylic acid. (A modified acetone.)
Michael Additions
Characterized by addition at the Beta position of an alpha, Beta-unsaturated aldehyde/ketone (instead of at the carbonyl)
Michael donors
A doubly stabilized enolate will react primarily at the Beta position (instead of attacking the carbonyl).
Robinson Annulation
Michael Addition + Aldol condensation –> builds a new ring onto an existing ring
Stork Enamine
Ketone –> 1,5 dicarbonyl