Brainscape
Find Flashcards
Discover millions of Flashcards
Browse Brainscape-Certified Flashcards
Learn faster with our catalog of expert certified, pre-made flashcards.
Browse All Flashcards
Browse our full catalog of user-generated and Brainscape-Certified flashcards.
Explore the
Knowledge Genome
of subjects:
Entrance Exams
Professional Certifications
Foreign Languages
Medical & Nursing
Science
English
Humanities & Social Studies
Mathematics
Law
Vocations
Health & Fitness
Business & Finance
Technology & Engineering
Food & Beverage
Fine Arts
Random Knowledge
Make Flashcards
How It Works
Features Overview
The Science of Studying
Educators
Schools & Teachers
Tutors & Resellers
Businesses
Employee Training
Publishers & Resellers
Academy
Academy Homepage
The Science of Studying
Study Tips
Teaching Tips
Employee Training Tips
Language Learning Tips
Test Prep Tips
Log in
My Dashboard
Get Started
Log out
2025 Year 13 A level Maths
> The Binomial Expansion > Flashcards
The Binomial Expansion Flashcards
(12 cards)
Study These Flashcards
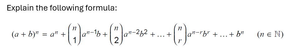
1
Q
A
How well did you know this?
1
Not at all
2
3
4
5
Perfectly
2
Q
A
How well did you know this?
1
Not at all
2
3
4
5
Perfectly
3
Q
A
1 5 10 10 5 1
How well did you know this?
1
Not at all
2
3
4
5
Perfectly
4
Q
A
How well did you know this?
1
Not at all
2
3
4
5
Perfectly
5
Q
A
How well did you know this?
1
Not at all
2
3
4
5
Perfectly
6
Q
A
How well did you know this?
1
Not at all
2
3
4
5
Perfectly
7
Q
A
How well did you know this?
1
Not at all
2
3
4
5
Perfectly
8
Q
A
How well did you know this?
1
Not at all
2
3
4
5
Perfectly
9
Q
A
How well did you know this?
1
Not at all
2
3
4
5
Perfectly
10
Q
A
How well did you know this?
1
Not at all
2
3
4
5
Perfectly
11
Q
A
How well did you know this?
1
Not at all
2
3
4
5
Perfectly
12
Q
A
How well did you know this?
1
Not at all
2
3
4
5
Perfectly
2025 Year 13 A level Maths
flashcards
Decks in class (37)
# Cards
The Binomial Expansion
12
Differentiation: St Pts, Max, Min, and Exam Question Tips
22
Differentiation: Gradient Function
18
Binomial Expansion + Vectors
60
Trigonometry - Radians and Sectors
20
Trigonometry - Y12
30
Differentiation - Chain Product and Quotient
8
The Binomial Expansion - Part 2
25
Sequences And Series
13
Trigonometry: CAST diagram
10
Exponentials and Logarithms
11
Y13 Pure 31 - Trigonometry: Radians and Sectors
20
Y12 Pure 41 - Functions: Curve Sketching and Transformations
40
Y12 Pure 61 - Polynomials
13
Functions
17
Sectors and small angles
2
Trig 2 - Reciprocal and Inverse Functions
26
Trig 3 - Identities
10
Pure 31 - Integration: Simple and by Inspection
35
Pure 00 - Proof_Y12
24
Pure 30 - Y12 Integration
13
Pure 32 - Integration: Exam Question Tips
13
Pure 21 - Differentiation: St Pts, Max, Min, and Exam Question Tips
23
Pure 20 - Differentiation: Gradient Function
18
Y13 Pure 32 - Trigonometry: Circular Measure and Small Angle Approximation
1
Y13 Pure 33 - Trigonometry: Reciprocal and Inverse Functions
26
Pure 07 - Exponentials and Logarithms
29
Binomail Expansion + Vectors
60
Sectors and small angles COPY
2
Numerical measures
25
Pure 12 - Circles
15
Pure 11 - Equation of a Line
18
Y13 Pure 34 - Trigonometry: Identities
10
Integration
8
Parametric Equations
35
Y12 Pure 011 The Trapezium Rule
7
Y12 Pure 010 Integration
13