Intermediate Value Theorem
Conditions: f is continuous on [a, b]
Conclusion: For every N between f(a) and f(b), there exists a number c with f(c) = N
Extreme Value Theorem
Conditions: f is continuous on a closed interval [a, b]
Conclusion: f has an absolute maximum value f(c) and an absolute minimum value f(d) at some numbers c and d in [a, b]
Rolle’s Theorem
Conditions:
• f is continuous on the closed interval [a, b]
• f is differentiable on the open interval (a, b)
• f(a) = f(b)
Conclusion: Then there exists a number c in (a, b) such that f ‘(c) = 0.
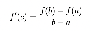
Mean Value Theorem
Conditions:
• f is continuous on the closed interval [a, b]
• f is differentiable on the open interval (a, b)
Conclusion: There exists a number c in (a, b) with a tangent line parallel to the line between a-b.

Continuity
Conditions:
• f(a) is defined
• lim {x→a} f(x) exists (both sides equal)
• lim {x→a} and f(a) are equal
Conclusion: f is continuous at a.
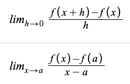
Limit Definition of Derivative

Squeeze Theorem
Conditions:
• f(x) ≤ g(x) ≤ h(x)
• lim {x→a} f(x) = lim {x→a} h(x) = L
Conclusion: lim {x→a} g(x) = L