Theory Flashcards

(21 cards)

1
Q

Define Systems

A

Segments of the environment which are to be controlled

How well did you know this?
1
Not at all
2
3
4
5
Perfectly
2
Q

Define “Sensor”

A

Measures the external signal

How well did you know this?
1
Not at all
2
3
4
5
Perfectly
3
Q

Define “Actuator”

A

Alters and adjusts the system

How well did you know this?
1
Not at all
2
3
4
5
Perfectly
4
Q

Define “Controllers”

A

Interconnection of components which form the system that provides the desired outcome.

How well did you know this?
1
Not at all
2
3
4
5
Perfectly
5
Q

Define “Process”

A

a component

How well did you know this?
1
Not at all
2
3
4
5
Perfectly
6
Q

Define and draw Open Loop System

A

Uses a controller and actuator to obtain the desired response.

How well did you know this?
1
Not at all
2
3
4
5
Perfectly
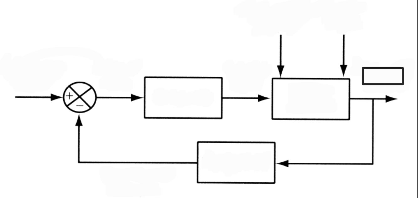
7
Q

Define and draw basic Closed Loop System

A

Uses a feedback singal from a sensor to control the system

How well did you know this?
1
Not at all
2
3
4
5
Perfectly
8
Q

Define “Abstraction”

A

Modelling

How well did you know this?
1
Not at all
2
3
4
5
Perfectly
9
Q

Define “Model”

A

Mathematical abstraction of the system

How well did you know this?
1
Not at all
2
3
4
5
Perfectly
10
Q

Define “Control system”

A

Consists of subsystems and processes assembled for the purpose of obtaining a desired output with the desired performance.

How well did you know this?
1
Not at all
2
3
4
5
Perfectly
11
Q

List the 4 categories of control systems

A

Power amplification
Remote control
Conveience of input form (convert th e input type into a different type of output)
Compensation for disturbances

How well did you know this?
1
Not at all
2
3
4
5
Perfectly
12
Q

Define “Input”

A

The stimulus provided to the system

How well did you know this?
1
Not at all
2
3
4
5
Perfectly
13
Q

Define “Output”

A

The actual response of the system

How well did you know this?
1
Not at all
2
3
4
5
Perfectly
14
Q

Define “Disturbance” and list some examples on ship

A

Unwanted external loads that act upon the system.

Roll, pitch, yaw
Temperature
Wind
Sea State

How well did you know this?
1
Not at all
2
3
4
5
Perfectly
15
Q

Draw an open control loop with disturbances

A

Slide 18

How well did you know this?
1
Not at all
2
3
4
5
Perfectly
16
Q

Draw a summer and Comparator

17
Q

Define the input transducer

A

Converts the input into a format that can be used by the controller

18
Q

Define “input”

A

The desired response, the reference

19
Q

Draw a closed loop control system

20
Q

What is a transfer function.

A

Combining the controllers and output sensors of nested loops or other loop geometries IOT simplify it down to a basic feedback control loop.