Strategic Supply Chain Model ?
Production Capacity is a VARIABLE:
Usually Multi-Site: consideration for transportation between production site/depots/customers
Product Model: use one Generic (tons, pounds, square meter)
Strategic Supply Chain questions ?
Tactical Supply Chain Model ?
Tactical Supply Chain questions ?
Operational Supply Chain Model ?
Operation Supply Chain questions ?
What is a graph ?
A graph is defined by:
What is a directed graph or digraph ?
A digraph is defined by:
What is the purpose of a graph ?
A graph is an abstraction used to model connections (edges, arcs) between agents (nodes).
A generic Strategic Supply Chain Model
SETS:
VARIABLES:
PARAMETERS:
CONSTRAINTS:
How to estimate fixed costs ?
We have to compute the NPV of the investment.
How to extend to Multi-Item case ?
The typical case is when several product families share a common facility, therefore share the fixed cost.
For the model: just add an index set I and indices i for all variables and constraints (representing the different products).
How to extend to Multi-Periods case ?
Add set T for periods and associate index t to all variables & constraints.
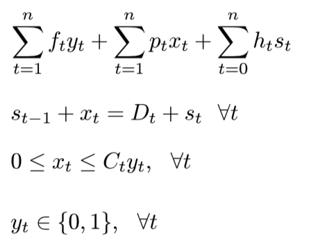
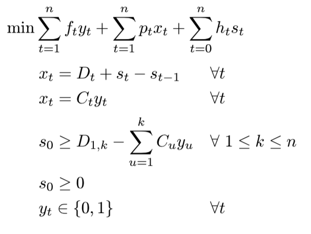
Standard Capacitated dynamic lot-sizing model LS-C
The model
Variables:

Lot-Sizing: network model

What if we can only produce in full batches?
We obtained this model by fixing the LS model with
xt = Ct* yt
► Just allow yt to be integer instead of binary.

What are the 3 types of capacity and how to model them ?
NB:

What is Backlogging ?
Service level is usually an important criterion/constraint in production environment, you want to:
Until now we’ve always assumed 100% service level (all demand is always satisfied on time. But sometimes, 99% service level might be acceptable and save a lot.
Therefore, backlogging is the satisfaction of the demand, but not necessarily on time, with some penalty.
The backlog at the end of period t is the amount of gods produced after t to satisfy some demand in t or before.
Lot-Sizing with Backlogging: Network model

What is the lead time?
In some applications, time periods are small so that if production of product i is started in period t, then it is only available for (own or external) consumption at time t + tlead.
If there is only one single item, if suffices to shift the demand earlier by t(lead) periods.
How to model Lead Time ?

What is Startup cost ?
Setup cost in incurred in each period where there is positive production. There is a start up cost in period t if there is no setup in period t-1 and there is a setup in period t.
What is a shutdown ?
There is a shutdown in period t if there is a setup in period t-1 and no setup in period t.
Suppose we have several products that share a common production line, how do we model the constraint ?
Joint Capacity Constraints
The most basic constraint is: sum xi,t <= C for all t.
The total quantity on the line is limited by a given capacity C.
This stands true as long as: