Topic 1 Flashcards

(17 cards)

1
Q

Where do monopolies price / where is profit maximized?

A

MR = MC

How well did you know this?
1
Not at all
2
3
4
5
Perfectly
2
Q

Where do firms price in a perfectly competitive market?

A

D = MC

How well did you know this?
1
Not at all
2
3
4
5
Perfectly
3
Q

Where do consumer co-ops price?

A

Coop: sells at MC = D b/c goal is to maximize member welfare

How well did you know this?
1
Not at all
2
3
4
5
Perfectly
4
Q

Where do producer co-ops price?

A

Q & P @ MC = MVP

How well did you know this?
1
Not at all
2
3
4
5
Perfectly
5
Q

What’s the difference between quantity demanded and demand?

A

QD = a single point along the demand curve
D = the curve itself

How well did you know this?
1
Not at all
2
3
4
5
Perfectly
6
Q

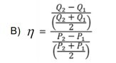
What is the formula for elasticity?

A
How well did you know this?
1
Not at all
2
3
4
5
Perfectly
7
Q

What is the formula for cross-price elasticity?

A
How well did you know this?
1
Not at all
2
3
4
5
Perfectly
8
Q

How do we know from the cross-price elasticity if something is a compliment or substitute?

A

n >0 for substitutes
n < 0 for compliments (because regular n would also be < 0)

How well did you know this?
1
Not at all
2
3
4
5
Perfectly
9
Q

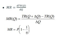
What are the 3 MR formulas?

A
How well did you know this?
1
Not at all
2
3
4
5
Perfectly
10
Q

What’s the difference between economic and accounting profits?

A

Economic profit takes opportunity cost into account.

How well did you know this?
1
Not at all
2
3
4
5
Perfectly
11
Q

How do we find the aggregate demand for private goods?

A

Horizontal summation: add all the Q together holding P constant.

How well did you know this?
1
Not at all
2
3
4
5
Perfectly
12
Q

How do we find the aggregate demand for public goods?

A

Vertical summation:
add all the P together holding Q constant.

How well did you know this?
1
Not at all
2
3
4
5
Perfectly
13
Q

What is the supply curve?

A

MC above AC

How well did you know this?
1
Not at all
2
3
4
5
Perfectly
14
Q

Is LRAC (long run average cost) above or below SR AC?

A

By definition LRAC < SRAC because it’s composed of the minimums of each SR AC

How well did you know this?
1
Not at all
2
3
4
5
Perfectly
15
Q

When n<-1, will increasing price increase or decrease profit?

A

Increasing price when demand is more than unit elastic will lower profits.

How well did you know this?
1
Not at all
2
3
4
5
Perfectly
16
Q

When n >-1 will increasing price increase or decrease profit?

A

Increasing price when demand is less than unit elastic will increase profits.