Topic 3 - Characterisation Methods Flashcards

(35 cards)

1
Q

What information does X-ray crystallography provide?

A

It provides information on the time and volume averaged long-range ordered structure of the solid

How well did you know this?
1
Not at all
2
3
4
5
Perfectly
2
Q

What causes the scattering of X-rays?

A

Electron density that is associated with the atoms regularly arranged in the crystal

How well did you know this?
1
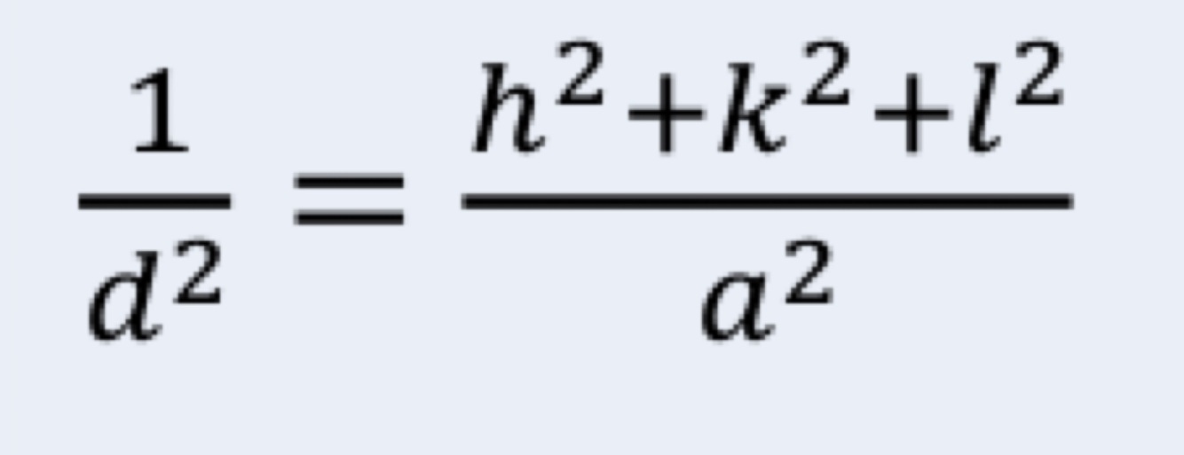
Not at all
2
3
4
5
Perfectly
3
Q

How does increases the grating spacing affect x-ray diffraction?

A

As the grating spacing increases, x-ray diffraction spacing decreases - and vice versa.

This is because of the reciprocal lattice generated by the diffraction pattern

How well did you know this?
1
Not at all
2
3
4
5
Perfectly
4
Q

Whats the significance of the incident angle of diffracted x-rays?

A

Waves passing through a grating interfere constructively at certain angles for a particular d-spacing, constructive interference
- results in a diffraction pattern

How well did you know this?
1
Not at all
2
3
4
5
Perfectly
5
Q

What causes the dark areas observed in a diffraction pattern?

A

When the incident angle for the particular d-spacing is ‘not correct’ and results in destructive interference
- the diffracted waves are out of phase

How well did you know this?
1
Not at all
2
3
4
5
Perfectly
6
Q

Whats the significance of the path difference length?

A

The path difference must be an integer multiple of the wavelength (lamda) to produce a diffraction pattern

This is determined by the d-spacing of the crystal and the incident angle

How well did you know this?
1
Not at all
2
3
4
5
Perfectly
7
Q

What does Bragg’s law relate?

A

Bragg’s law relates the spacing of the crystal planes with the angles at which diffraction is observed

Diffraction is a function of spacing & angle incident of diffracted wave

How well did you know this?
1
Not at all
2
3
4
5
Perfectly
8
Q

What is the formula for Bragg’s law?

A

Lamda = 2d(hkl)sin(theta)

How well did you know this?
1
Not at all
2
3
4
5
Perfectly
9
Q

What is the reciprocal lattice?

A

The reciprocal lattice is the representation of the diffraction pattern generated when waves are scattered by a periodic array of points.

It is a representation of the real lattice. Each point in the reciprocal lattice corresponds to the diffraction from a particular set of planes (hkl) in the real (direct) lattice.

How well did you know this?
1
Not at all
2
3
4
5
Perfectly
10
Q

How are x-rays generated?

A

X-rays are formed when high energy particles (e-) collide with matter
- e- are typically fired at a Cu anode

This produces white radiation (or Brehmsstrahlung) and some sharp peaks superimposed with characteristic wavelengths.

How well did you know this?
1
Not at all
2
3
4
5
Perfectly
11
Q

Why are synchrotrons used as x-ray sources?

A

Extremely intense x-ray source
- fast experiments, time-resolved studies, in situ, in operando measurements (more data)

Tunable wavelength
- can vary energy of radiation depending on the materials studied and experiment (not just x-rays)

Highly collimated, parallel x-rays
- give excellent resolution assuming material is highly crystalline

How well did you know this?
1
Not at all
2
3
4
5
Perfectly
12
Q

What information does the reflection position of a single crystal give?

A

The reflection position give info on the plane distances, and hence the unit cell

How well did you know this?
1
Not at all
2
3
4
5
Perfectly
13
Q

What information does the intensity of the diffraction pattern give?

A

Diffraction intensities provides information on the atom positions within the crystal
- technically its the position of electron density for x-rays

How well did you know this?
1
Not at all
2
3
4
5
Perfectly
14
Q

How does the diffraction pattern of powders differ to that of single crystals?

A

Powder diffraction produces rings instead of isolated spots
- lower resolution

How well did you know this?
1
Not at all
2
3
4
5
Perfectly
15
Q

Why is it harder to fully determine crystal structures using PXRD?

A

Peak positions are usually still accessible but extracting intensities of individual reflections can be difficult because of overlap

How well did you know this?
1
Not at all
2
3
4
5
Perfectly
16
Q

What’re the advantages of PXRD?

A

Simple, fast, non-destructive experiment

Does not require high quality sample (large single crystal)

Does not require sample remains a single under changing conditions

Bulk characterisation technique

17
Q

What’re the disadvantage of PXRD?

A

Data analysis to fully determine structure can be more complex than for single crystal diffraction

18
Q

What information does PXRD give?

A

Polymorph identification
Crystalline size and shape information
Microstructural analysis
Unit cell determination
Crystal structure determination

19
Q

Whats the benefit of comparing PXRD of known solids to new solids?

A

PXRD patterns of known solids can be used to fingerprint a new solid.

Both the positions and relative intensities of peaks of the new material’s profile are taken into account when comparing to known solids.

20
Q

What are crystallites?

A

Crystallites, or scattering domains, (smaller than ~200nm) give rise to broadening of diffraction reflections in the diffraction pattern

21
Q

What equation provides a way to approximate crystallite size from the width of a diffraction pattern?

A

The Scherrer equation

22
Q

What equation relates the d-spacing and unit cell parameters for cubic structures?

23
Q

What equation relates the d-spacing and unit cell parameters for orthorhombic structures?

24
Q

Why do systematic absences occur in diffraction patterns?

A

They occur because of destructive interference of reflections from certain planes

Translational symmetry elements can also cause systematic absences
- screw axis, glide planes

25
What do systematic absences tell you?
Systematic absences tell you about the centring of the lattice - FCC, BCC, primitive, etc.
26
What are the allowed reflections for primitive, P, centred lattices?
All reflections are allowed
27
What are the allowed reflections for body centred, I, lattices?
h+k+l = 2n
28
What are the allowed reflections for face centred, F, lattices?
h, k, l must be all odd or all even
29
What does it mean if a reflection breaks the rules of the miller indices of a lattice?
If a reflection breaks the rules for a given lattice centring, it cannot be observed if a lattice has that centring - i.e. it is systematically absent
30
Between what planes does destructive interference occur in the Rocksalt structure, why?
Destructive interference occurs between reflections from (111) and (222). This is because the ions on these close-packed planes are exactly out of phase with the interleaving planes If the ions are isoelectronic, the interference is complete, and so no intensity is observed for the (111) reflection
31
How do you index a cubic crystal using Braggs’ law?
Convert 2(theta) to sin^2 - or d to 1/d^2 Find the common factor to give integer ratios. Divide all sin^2 (or 1/d^2) values by this factor to give the ratio that is equal to h^2+k^2+l^2. Look at the equation (h^2+k^2+l^2) and assign miller indices Determine centring, P, I or F based on systematic absences If required, calculate a (UC length) using d-spacing equation.
32
What equation gives the structure factor for a particular reflection?
Where fj is the scattering factor of atom j at position (xj, yj, zj) in the unit cell
33
What is the intensity of a reflection given by?
Hence, the intensities can be quantitatively related to the positions of the atoms in the unit cell
34
Is the scattering factor of Cr equal to that of Cr(III)?
No, as they have a different number of electrons
35
What is Rietveld refinement?
Rietveld refinement is the process of varying the structural model to fit the whole experimental powder profile of a material.