Topic 4. Column Parameters Wayne Cummins Flashcards

(133 cards)

1
Q

In the lab in December, there will be a tricky separation, what will I have to look at?

A

Speed

How well did you know this?
1
Not at all
2
3
4
5
Perfectly
2
Q

Column Choice: What are the trade-offs?

A

Can optimise for any one factor or

Compromise on each for something in between

Depends on method requirement

Speed = number of peaks per unit time

How well did you know this?
1
Not at all
2
3
4
5
Perfectly
3
Q

Speed is inversely proportional to:

A

peak width

How well did you know this?
1
Not at all
2
3
4
5
Perfectly
4
Q

Column Choice:
The primary focus is:

A

Separation.

How well did you know this?
1
Not at all
2
3
4
5
Perfectly
5
Q

Degree of separation (resolution) is a result of three conditions: (3)

A

Components must be retained on/by the stationary phase (retention k).

Component must be retained to different extents by the stationary phase (selectivity
α).

Component peaks must be in narrow bands on the column (efficiency N).

How well did you know this?
1
Not at all
2
3
4
5
Perfectly
6
Q

What does the stationary phase in GC cause?

When efficiency increases, what happens?

A

Retention

Peak becomes more narrow

How well did you know this?
1
Not at all
2
3
4
5
Perfectly
7
Q

Separation Parameters

Which is the most important?

A

It depends.

Initially k and N are most important.

Effect reduces as values increase – particularly for k.

α most impact on resolution as values increase.

Initial method development should focus on this.

How well did you know this?
1
Not at all
2
3
4
5
Perfectly
8
Q

Separation Parameters:

A
How well did you know this?
1
Not at all
2
3
4
5
Perfectly
9
Q

Selectivity refers to:

A

to ability of stationary phase to “selectively” retain one component relative to another.

Largely governed by stationary phase type.

Significant effect on resolution for minor changes in selectivity.

Consider increasing selectivity from 1.01 to 1.02, what effect will this have on
resolution?

How well did you know this?
1
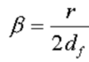
Not at all
2
3
4
5
Perfectly
10
Q

Consider increasing selectivity from 1.01 to 1.02, what effect will this have on
resolution?

A

1.01 - 1 / 1.01 = 0.0099

1.02 - 1 / 1.02 = 0.0196

The number is doubles - You double resolution. Even a small effect on selectivity has a significant effect on resolution

How well did you know this?
1
Not at all
2
3
4
5
Perfectly
11
Q

Despite its affect on resolution, selectivity is rarely the focus of method development
in capillary GLC
True or false?

A

True

How well did you know this?
1
Not at all
2
3
4
5
Perfectly
12
Q

Capacity factor k - refers to:

A

The degree to which a component is retained
relative to a non retained component

The higher the value the longer greater the retention

Increase in resolution diminishes exponentially with increasing k

How well did you know this?
1
Not at all
2
3
4
5
Perfectly
13
Q

Consider the effect on resolution of an increase in k of 0.4 to 0.8 vs an increase from 5 to 10

A

0.4-0.8 = Small increase in retention and a significant increase in resolution

5 - 10 = Big increase in retention with very little effect on resolution

How well did you know this?
1
Not at all
2
3
4
5
Perfectly
14
Q

Effectively refers to:

Measured using:

A

Peak narrowness*

Theoretical plates - Height equivalent to a theoretical plate (HETP)

Length of column that must be travelled in order to achieve a fractional degree of
separation between to peaks

More plates – more narrow the peak

How well did you know this?
1
Not at all
2
3
4
5
Perfectly
15
Q

Do we want N to be high or low?

A

We want N to be high

How well did you know this?
1
Not at all
2
3
4
5
Perfectly
16
Q

Do we want HETP to be high or low?

A

We want low HETP

How well did you know this?
1
Not at all
2
3
4
5
Perfectly
17
Q

Resolution proportional to :

A

to square root of
efficiency

How well did you know this?
1
Not at all
2
3
4
5
Perfectly
18
Q

Doubling the efficiency of a column will
only increase the resolution by a factor of
approximately

A

1.4 i.e. √2

How well did you know this?
1
Not at all
2
3
4
5
Perfectly
19
Q

Resolution is governed by : (3)

A

Column length

Column id

Mobile phase type and velocity

How well did you know this?
1
Not at all
2
3
4
5
Perfectly
20
Q

HETP =

A
How well did you know this?
1
Not at all
2
3
4
5
Perfectly
21
Q

What are the two ways of measuring efficiency:

A

HETP (Height equivalent to a theoretical plates) -small

+

N, (Number of theoritical plates) -big

How well did you know this?
1
Not at all
2
3
4
5
Perfectly
22
Q

The more theoretical plates you have…

A

The better narrow peaks you have

How well did you know this?
1
Not at all
2
3
4
5
Perfectly
23
Q

Selectivity is (largely) determined by :

A

stationary phase chemistry

How well did you know this?
1
Not at all
2
3
4
5
Perfectly
24
Q

Once selectivity is decided, need to determine/optimise other column parameters: (2)

A

Mobile phase
 Type
 Velocity

Column
 Length
 Internal diameter
 Phase ratio
 Temperature

How well did you know this?
1
Not at all
2
3
4
5
Perfectly
25
MCQ*** 1- What is the function of the Mobile phase? 2- What should your mobile phase be: (4) 3- What do you need to consider? (3) 4- Velocity has an effect on: (3)
1- Function is to carry the vaporised sample onto and through the column 2- Be cheap Be inert – not react with sample, matrix, solvent or stationary phase. Have no influence on the partition of components into and out of the stationary phase – unlike LC. Free of detectable contaminants (organics and especially O2) 3- The type: N2 (Nitrogen) He (Helium) H2 (Hydrogen) 4- Can have a significant effect on efficiency and hence resolution Different optimum for each gas (difference from helium to hydrogen) Offers scope for method development
26
N2 =
Nitrogen
27
He =
Helium
28
H2 =
Hydrogen
29
Mobile Phase - Efficiency What does Van Deemter describe ?
Van Deemter describes the processes that contribute to band broadening in packed column chromatography (GC & LC).
30
Mobile Phase - Efficiency What does Golay equation describe?
Golay equation describes the processes that contribute to band broadening in capillary GC columns.
31
What is important to note about capillary GC columns?
Capillary GC columns are hollow tubes, not packed. No A term (eddy diffusion) The diagrams - Mobile phase flow velocity is on the x axis
32
Look at the Van Deemter equation and the Golay equation. What can you tell me about the two? MCQ:***
Eddy diffusion has been removed from the Golay equation, which relates to capillary columns. Dip in curve op flow velocity = 14cm/sec By going to a non-optimum flow velocity, we reduce efficiency. If we lose this, we lose resolution. Some people might want to run at 40 seconds for a shorter run time Ideally, every peak should have a resolution of 2
33
Chromatographic peak dispersion in capillary GC columns is governed by:
Where (H) HETP, (k)' is the retention factor of the solute, (DS) is the diffusivity of the solute in the stationary phase, (r) is the radius of the column, (u(o)) is the mobile phase velocity at the column exit and at atmospheric pressure, D(m(o)) is solute diffusivity in the mobile phase, measured at atm pressure and (γ) is the inlet/outlet pressure ratio of the column The diffusion coefficient Dm is present both in the B-term (i.e. the longitudinal diffusion term) and the Cm-term (i.e. the resistance to mass transport in the mobile phase). Hence resistance to mass transfer in the mobile phase is the dominant factor in contributing to peak dispersion in a GC capillary column
34
What does H stand for?
HETP
35
What does k stand for?
the retention factor of the solute
36
What does Ds stand for?
is the diffusivity of the solute in the stationary phase
37
What does r stand for?
is the radius of the column
38
What does (u(o)) stand for?
is the mobile phase velocity at the column exit and at atmospheric pressure
39
What does D(m(o)) stand for and (γ)?
solute diffusivity in the mobile phase, measured at atm pressure and (γ) is the inlet/outlet pressure ratio of the column
40
What does Dm stand for?
The diffusion coefficient Dm is present both in the B-term (i.e. the longitudinal diffusion term) and the Cm-term (i.e. the resistance to mass transport in the mobile phase). Hence resistance to mass transfer in the mobile phase is the dominant factor in contributing to peak dispersion in a GC capillary column
41
What governs mass transfer in and out of the stationary phase?
D(m(o)) is solute diffusivity in the mobile phase, measured at atm pressure and (γ) is the inlet/outlet pressure ratio of the column
42
What does mass transfer have a more significant effect on?
It has a more significant effect on band broadening than the other two
43
Mobile Phase Type & Velocity: What's the most efficient for velocity?
Nitrogen most efficient, however requires the lowest velocity for Uopt hence will exhibit the longest retention times and therefore run times.
44
Is helium a good choice?
Helium - good efficiency, can be run at high velocities – expensive/supply issues.
45
Is Hydrogen a good choice?
Hydrogen has good efficiency at a significantly faster velocity. Has the flattest curve meaning higher velocities can be run without significant loss of efficiency.
46
Mobile Phase Type & Velocity
Uopt = (Flow of Velocity) Remember HETP inversely relates to N. We require large N, hence small HETP
47
Mobile Phase Type: Tell me about He and H2 Whats the best one to use?
He and H2 in particular, yield a greater number of plates/unit time with only marginal loss of efficiency relative to N2 Best one to use = Hydrogen increased velocity with quicker run times .
48
Mobile Phase Type: Helium vs Hydrogen at Uopt for each gas
Retention time reduced by half with hydrogen due to higher flow rate. No loss of resolution
49
Mobile Phase - Velocity: For isothermal analysis mobile phase velocity inversely related to :
Rt
50
What results in the highest efficiency?
Uopt - optimum velocity results in highest efficiency.
51
Optimum Practical Gas Velocity =
maximum efficiency per unit time
52
Running mobile velocity higher or lower than Uopt results in :
loss of efficiency
53
Rt =
Retention time
54
Effect is more significant for velocities below or above Uopt?
below
55
We are more interested in running at : What does this only apply to?
higher velocities Shorter run times. Higher sample throughput. He and H2. Not N2 due to steepness of curve at higher velocities.
56
As we double mobile phase velocity we:
Half retention time
57
What does OPGV stand for?
Optimal Practical Gas Velocity
58
Viscosity is a measure of:
resistance to flow
59
Viscosity of gases increases with : What does this have a most significant effect with?
Temperature. Opposite to effect with liquids. Most significant for helium
60
As the column heats up the mobile phase velocity...
Increases
61
Mobile Phase Viscosity: Significance for isothermal analysis:
None for isothermal analysis* No change in temp, therefore no change in viscosity, therefore no change in mobile phase velocity. Set pressure to give optimum flow velocity
62
In temperature programming the change in viscosity with increasing temperature results in :
a lowering of mobile phase velocity – loss of efficiency – loss of resolution. Need to increase pressure to maintain optimum flow velocity across run.
63
Example: Consider an initial temperature of 40 °C and a flow velocity of 50 cm/sec with helium mobile phase, i.e. optimum velocity for that gas. With a temperature programme that ramps temp to 300 °C this results in a near doubling of viscosity.
Compounds eluting early, will elute at the optimum velocity for the mobile phase and hence be highly efficient. Compounds eluting later (at higher temperature) will experience lower (nonoptimum) flow and produce broader (less efficient) peaks.
64
What does Electronic Pneumatic Control EPC allow for? What do you need to be mindful of? What are the other factors to consider?
Electronic Pneumatic Control EPC allows for pressure to be increased during run to maintain optimum mobile phase velocity, regardless of changing temp and related changing viscosity. Need to be mindful of pressure limits of instrument. Only feasible to increase temperature to certain limit. Column length. - Longer column – greater back pressure for a given temperature Column i.d.- More narrow i.d. – greater back pressure for a given temperature – relative increase in internal surface area of column. (Think of a straw, big straw = easy to blow through, small straw = hard to blow through)
65
As temperature increases what else increases?
Velocity
66
N is a function of :
column length Double the length - double N
67
What does Rs increase by?
Rs only increases by a factor of approximately 1.4, i.e. the 𝑅𝑒𝑙𝑎𝑡𝑖𝑣𝑒 𝐶ℎ𝑎𝑛𝑔𝑒 𝑖𝑛 𝑙𝑒𝑛𝑔ℎ𝑡, in this case 2
68
Is there little use in increasing column length?
Little use in increasing column length marginally as a means of improving resolution
69
Whats the column length range? What is it typically?
Range 5 – 200 m Typically 15 – 60 m
70
Column Length: Which one is the most popular?
30 m
71
What is this formula used for?
To choose column length
72
1- As column length becomes very long (> 60 m) what happens to efficiency? 2- What becomes a dominant factor with long column residence times? 3- Further increases in column length do not yield the expected improvement in:
1- As column length becomes very long (> 60 m) the Efficiency-length relationship does not hold. 2- Molecular diffusion becomes a dominant factor with long column residence times 3- Efficiency and resolution.
73
Column Length – Practice Question A resolution of 0.62 was obtained on a 10 m column under isothermal conditions. Determine the resolution if a 100 m column was used.
74
Changing the column ID affects 5 operational parameters:
1- Efficiency 2- Retention 3- Linear velocity 4- Column capacity 5- Back pressure
75
ID is inversely proportional to:
efficiency
76
What will having the id do?
Halving the column id will double the efficiency Due to the increase in analyte stationary phase interactions per unit length with smaller ID columns
77
Remember resolution is proportional to :
square of efficiency Halve the column ID - resolution will increase by a factor of approximately 1.4
78
Column Length : MCQ: If you increase column length: Efficiency- Resolution- Analysis Time- Pressure- Cost- Column Bleed-
Efficiency- Increase (good) Resolution- Increase (good) Analysis Time- Increase (bad) Pressure- Increase (Bad) Cost- Increase (Bad) Column Bleed- Increase (Bad) - more stationary phase in the column
79
Column Length : MCQ: If you decrease column length: Efficiency- Resolution- Analysis Time- Pressure- Cost- Column Bleed-
Efficiency- decrease (bad) Resolution- decrease (bad) Analysis Time- decrease (good) Pressure- decrease (good) Cost- decrease (good) Column Bleed- decrease (good) Not 100% on these so double check
80
Whats the characteristics of a short length column (5-15m) Whats the applications?
81
Whats the characteristics of a middle length column (20-30m) Whats the applications?
82
Whats the characteristics of a long length column (50-150m) Whats the applications?
83
Changes in column i.d. has influence over 6 parameters of concern: MCQ**
Efficiency Resolution Retention Back pressure Mobile phase velocity Analyte capacity
84
Efficiency (N) Is inversely proportion to :
column i.d Reduce the column i.d. by factor of 2, double efficiency (N) Increase in analyte stationary phase interactions with smaller ID
85
However resolution is a square root function of :
N Therefore if N is doubled resolution is only increased by a factor of 1.4, i.e. √2 Similar effect as observed with change in column length In practicality this is usually closer to 1.2 – 1.3 times
86
Changes in column i.d. has influence over 6 parameters of concern: Efficiency Resolution Retention Back pressure Mobile phase velocity Analyte capacity do these increase or decrease?
Efficiency- increases (good) Resolution- increase (good) Retention- increase (depends) Back pressure- increases (bad) Mobile phase velocity- decreases (bad) Analyte capacity- decreases (bad)
87
if your retention is less than 5 what would you like to do?
increase it
88
if your retention is more than 5 what would you like to do?
decrease
89
With a wider column what way do the analytes diffuse? With a narrower column what way do the analytes diffuse?
Wider column = less efficient = wider peaks Narrow column = more efficient = better peaks
90
N increases linearly with
decreasing column ID. Hence a shorter column with a smaller i.d. will yield the same N as a longer but wider bore column. An equivalent separation can be achieved on a shorter column with smaller i.d.
91
Shorter columns are:
Shorter columns are cheaper and faster.
92
However smaller ID columns: (3)
1- More sensitive to contamination. (More maintenance.) 2- Have shorter lifetimes. (Lower no of samples per column.) 3- Easily overloaded. (Less stationary phase.)
93
Columns of reduced diameter are used when dealing what what sort of peaks?
Columns of reduced diameter are used when dealing peaks exhibiting poor resolution. However, there are drawbacks to smaller i.d. columns
94
Smaller ID columns produce :
Smaller ID columns produce higher retention factors. Due to the reduced amount of mobile phase available in a smaller ID column and relative increase in amount of stationary phase. (you get higher retention) Increased interaction with the stationary phase – higher retention. the 0.15 mm i.d. has higher velocity, much flatter, could run at higher velocity
95
However smaller id columns have a :
higher optimum linear velocity.
96
Significance of column ID: (3)
1. Smaller ID columns more efficient 2. Higher Uopt 3. Flatter curve at velocities exceeding Uopt
97
While retention is increased overall runtime can be reduced by running at higher mobile phase linear velocity.
98
Column ID Retention and Flow Velocity: Reduction in the amount of mobile phase gas used even though linear velocity is higher with : Ideally suited to :
smaller ID columns. interfacing with mass spec detectors.
99
Column ID - Pressure: Pressure increases quadratically with:
decreasing ID
100
1- Halving the i.d. increases what? E.g. 0.25 mm i.d. column needs approximately ??? times the pressure of a 0.53 i.d. column to maintain the same flow velocity. At high pressure that is there increased chances of?
The backpressure by a factor of 4. 4 Increased chance of leaks at higher pressures. More preventative maintenance required – e.g. septa. (needle goes in and out) Advantageous for high volume injections.
101
Column ID - Capacity: The amount of solute a column can take is dependant on :
the amount of stationary phase present.
102
Amount of stationary phase depends on: (2)
Column internal diameter. Stationary phase thickness.
103
Smaller diameter columns are:
very easily overloaded.
104
If you overload your stationary phase what happens?
Shark fin peaks
105
Internal Diameter : What's the characteristics of 0.15 mm - 0.18 mm inner diameter? And Applications:
106
Internal Diameter : What's the characteristics of 0.25 mm - 0.32 mm inner diameter? And Applications:
107
Internal Diameter : What's the characteristics of 0.53 mm inner diameter? And Applications:
108
As inner diameter increases what happens to: Efficiency Sample loading capacity Flow rate Analysis time
Efficiency- decreases Sample loading capacity- increases Flow rate- increases Analysis time- increases
109
What does df stand for?
Film Thickness (df )
110
What does film thickness of stationary phase refer to? What's the typical range?
Refers to the thickness of the stationary phase film Typically range: 0.1 to 5 µm (1µm = 10-6 m)
111
As stationary phase Film Thickness increases, what happens to: Retention Efficiency Resolution Bleed Sample capacity Inertness
Retention- Increases Depends Efficiency- Decreases Bad Resolution- Variable Depends Bleed- Increases Bad Sample capacity- Increases Good Inertness- Increases Good Complicated situation – largely depends on what k is for analytes
112
As stationary phase Film Thickness decreases, what happens to: Retention Efficiency Resolution Bleed Sample capacity Inertness
Retention - decreases depends Efficiency - increases good Resolution - variable depends Bleed - decreases good Sample capacity - decreases bad Inertness - decreases bad Complicated situation – largely depends on what k is for analytes
113
Film Thickness – Retention & Resolution Increased thickness =
= increased retention (k) for all compounds: More stationary phase.
114
Film Thickness – Retention & Resolution: k affect on resolution is variable: 1- For compounds with a low k < 5, increasing the FT has a significant impact on 2- For compound with a high k > 10, increasing the FT has a negligible effect on:
1- For compounds with a low k < 5, increasing the FT has a significant impact on increasing resolution. 2- For compound with a high k > 10, increasing the FT has a negligible effect on resolution. Capacity Factor (k) = Retention Factor
115
Film Thickness – Retention & Resolution 1- At k values > 10 increasing FT may result in :
1- loss of resolution. (Compound already well retained on thin film. Increasing k further does not contribute significantly to improved resolution.)
116
However longer time spent on the column with thicker film: (3)
Peak diffuses on column – becomes broader – lower N. Effect is more pronounced than negligible effect of increased k. Overall loss of resolution.
117
Film Thickness – Retention & Resolution Aim for k values of: To increase k use: To decrease k use : Will temp have an effect on k?
Aim for k values 5 – 10. To increase k use thicker film. To decrease k use thinner film. Temp will have a dramatic effect on k
118
Film Thickness – Column Capacity: 1- Column capacity increases with : 2- Very easy to overload what sort of film coloums? 3- Need to:
1- Film thickness. 2- Very easy to overload thin film columns. 3- Dilute sample. Use high split ratio.
119
Whats stationary phase specific to?
Compound specific for a given stationary phase Depends on polarity of compound vs stationary phase – solubility related
120
What is the column capacity definition?
The amount of analyte we can add to the column before over load
121
What does an overloaded stationary phase look like on the column ?
Shark fin peak
122
What is this diagram showing ?
When you decrease thickness, the capacity is reduced. When you increase thickness, capacity is increased
123
FT – Bleed & Inertness 1- Column bleed increases in proportion with : 2- More stationary phase = 3- Thicker film columns have: 4- What happens with increasing film thickness
1- Column bleed increases in proportion with film thickness 2- More stationary phase – more bleed 3- Thicker film columns have lower temp limits 4- Activity decreases with increasing film thickness (Silanol groups shielded from sample components with thicker films)
124
1- Tailing of peaks only apply to what? 2- What compounds tail badly on thin film? 3- Active compounds= 4- Inactive compounds=
1- To polar compounds 2- Polar compounds tail badly on thin film 3- Active compounds= Polar 4- Inactive compounds= Non-polar
125
Typical column + stationary phase distance is only ??% diameter of the thickness of the stationary phase :
0.4%
126
Stationary phase film thickness directly effects ? , ? , and ? for each component. When changing either film thickness or the temperature programme, you much do what?
Retention, Resolution and elution temperature for each sample component Reconfirm peak identifications as elution order changes can occur
127
Film Thickness 0.10 - 0.50 μm, what are the characteristics and applications?
128
Film Thickness 1.0 - 10.0 μm, what are the characteristics and applications?
129
As film thickness increases: Retention- Sample loading capacity- Column bleed- Maximum temperature-
Retention- Increases Sample loading capacity- Increases Column bleed- Increases Maximum temperature- Decreases
130
Phase Ratio What is this calculation for?
Ratio of column stationary phase to mobile phase Calculated from:
131
1- Increasing phase ratio has effect of: 2- Phase ratio of ??? good general purpose. 3- For high volatility analyses use columns with phase ratios ??? 4- For low volatility analyses use columns with phase ratios ???
1- Increasing phase ratio has effect of decreasing retention and vice versa. 2- Phase ratio of ~ 250 good general purpose. 3- For high volatility analyses use columns with phase ratios < 100. 4- For low volatility analyses use columns with phase ratios > 1000.
132
Phase Ratio – Optimising Retention: Knowing phase ratio facilitates :
Knowing phase ratio facilitates changing column parameters whilst maintaining chromatographic selectivity Butane Isomer separation on 60 meter x 0.32 x 3.00um -(Over 10 times thicker = more retention = now have a change of separation and that's what were getting
133
Phase Ratio – Run Time
Bottom left: Generate equivalent chromo in a shorter time by maintaining the phase ratio Bottom right: Same quality of separation is on both column - run time has decreased