What is the distribution of this symbol h ~ N(μ, Ω), and what are it’s proporties?
A normal distribution with mean μ and variance Ω.
Where: h(p x 1), Ω(p x p)
For z ~ N(0, Im), how is w = z‘z distributed?
On a Chi-Squared Distibution,
χ2 ~ (m)
Where m is the degrees of freedom, or the ‘number of normal distributions used to generate the vector’.
What are the properties of the Chi-Squared Distribution?
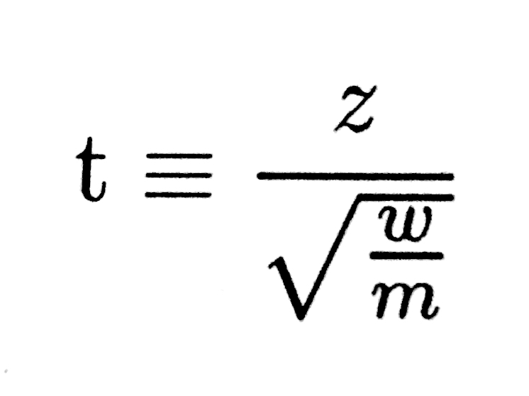
How would the variable below be distributed, where:
z ~ N(0,1)
w ~ χ(0,1)

This is a student t distribution!
t ~ t(m)

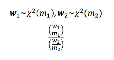
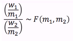
What is the distribution of this variable?
What are the properties of this distribution?

The F distribution!
The expectation of the denominator and nominator are one.
A student t dist squared, t2 ~ F(0,m).

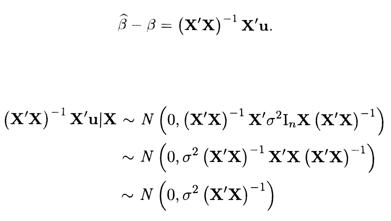
What is the distribution of β^ - β

What are the steps for hypothesis testing?
What is type one error?
Probability of rejecting the null hypothesis given it is true.
What is type 2 error?
When the null hypothesis is not rejected, given it is false.
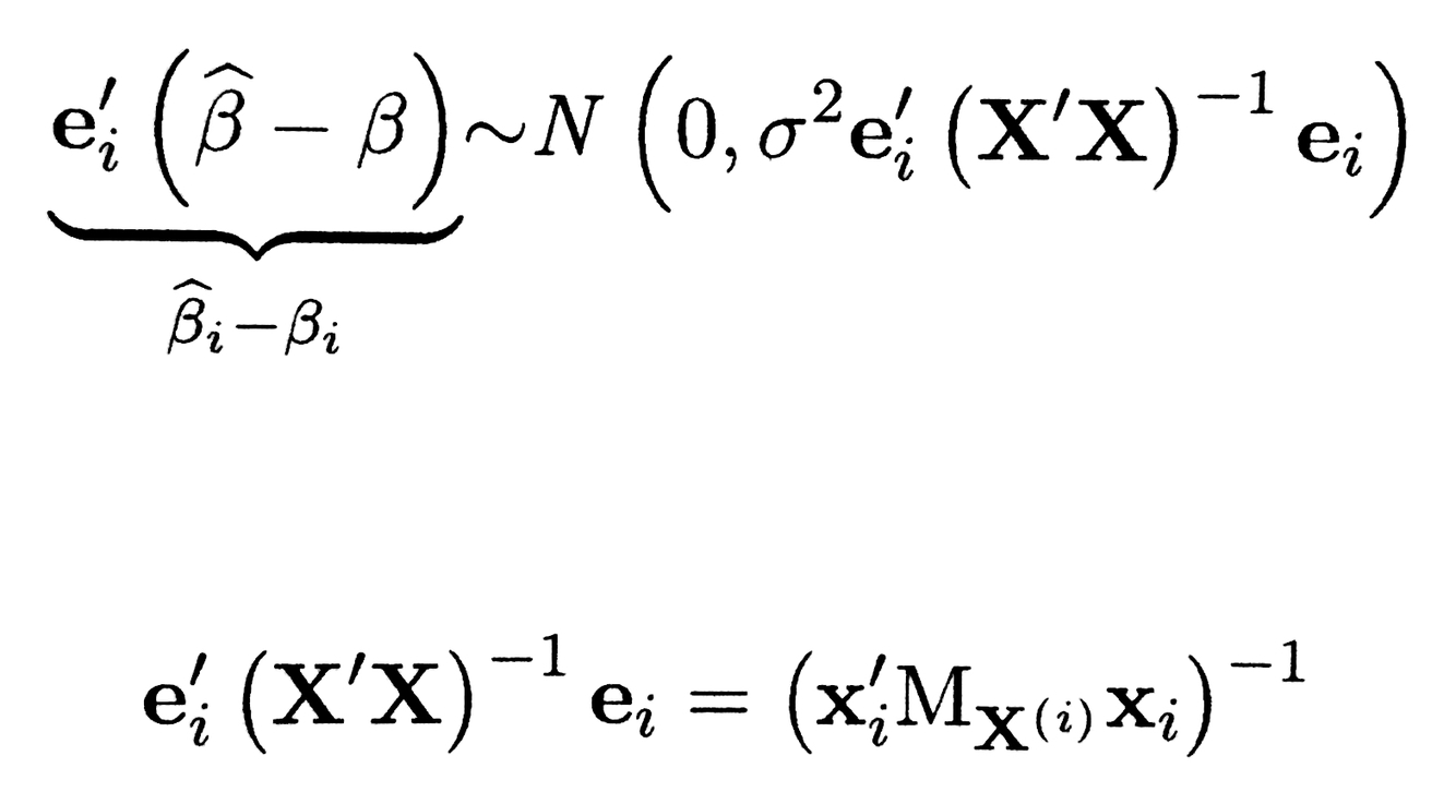
What is the distribution of a single parameter estimate?
ei‘(β^-β)

What is the distribution of the following?
As the left and right parts of the second equality are distributed on the normal distribution, this can be modelled by a chi-squared distribution with n-k degrees of freedom.

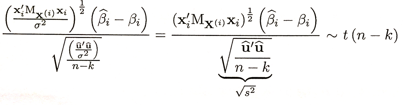
What is the t-test formula for a coefficient?

Say some theory predicts:
β2+β3=0
β1=0
What restriction matrix should be constructed?

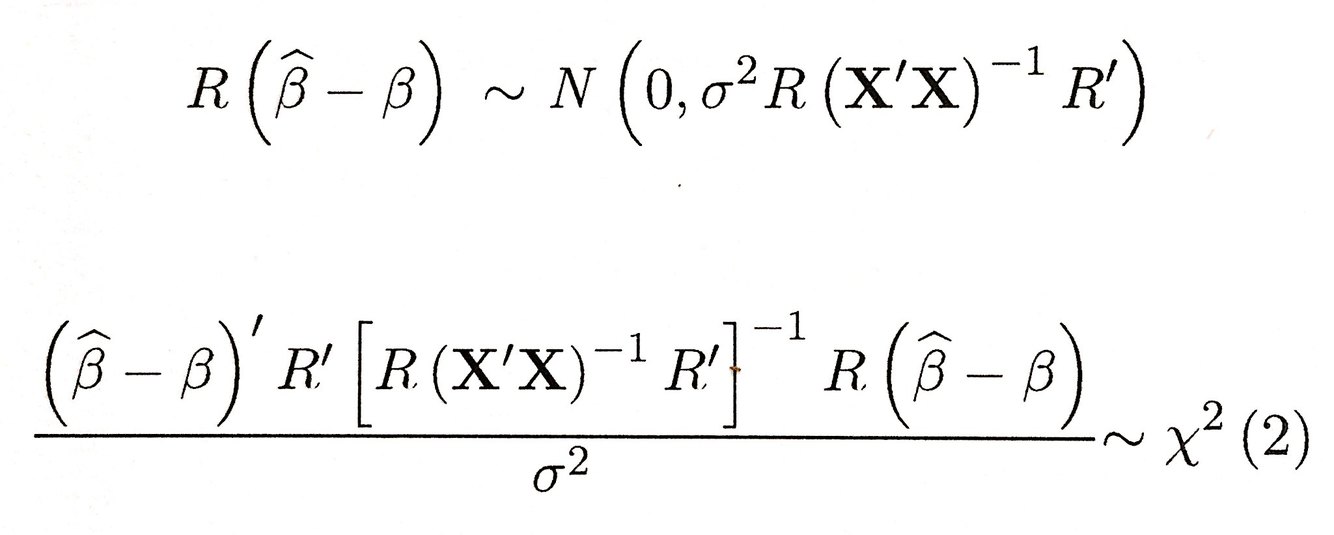
What are the steps for a restriction test?
Get the distribution of R(β^-β).
Construct a chi-distribution from this statistic.
