what do each of the terms in the equation q=mcΔT mean?
q=heat lost or absorbed by the substance
m=mass of substance
c=specific heat of substance
ΔT= change in temperature for that reaction
**This equation can also be written as q=CΔT, in which C (heat capacity=mc).
T/F: the mixture of conjugates (the product) of a strong acid or strong base is pH neutral
true
the secondary structure specific to transmembrane domains is
alpha helices

What is the configuration of the electrons in the valence shell of a chloride anion?
3s23p6
explanation: since it’s in its anionic form, it has one extra electron which pushes it from 5 to 6 in the p subshells
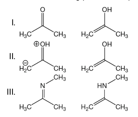
which are tautomers (can pick more than one)

1 and 3
Tautomers are two neutral molecules with the same molecular formula but different connectivity - constitutional isomers, in other words - which can interconvert in a rapid equilibrium.
2 is not one because it is not neutral
β-oxidation occurs in the _________and fatty acid biosynthesis occurs in the _________
mitochondrial matrix
cytoplasm.
MCAT tip: do not assume racemization unless it’s reference in some manner in the passage
HPLC refers to_________
High performance liquid chromatography. It is basically a highly improved form of column chromatography. As with column chromatography, polar compounds in the mixture being passed through the column will stick longer to the polar silica than non-polar compounds will. The non-polar ones will therefore pass more quickly through the column.
T/F: Sound waves reach the ear closest to the source of the sound first, and the further ear second. This time gap allows the brain to determine the location of the sound
true
______ cm-1 is the band on IR representative of the presence of oxygen
3200 cm–1
when a neutral polyprotic molecule loses its first hydrogen, how does that affect the dissociation constant for the second hydrogen
After loss of the first proton, the remaining hydrogen is bound to a negatively-charged molecule. Electrostatic attraction between this remaining hydrogen and the negatively-charged molecule would disfavor loss of the second proton, resulting in a smaller K. Therefore, K2 << K1.
What is the critical angle, φcrit of a light ray crossing 2 media
the angle at which the refracted light emerges tangent to the interface (ie angle of refraction φB is 90o)
total internal reflection will occur when the incident angle is greater than the angle of refraction
*This only occurs if the index of refraction of medium 2 (entered into) is less than that of medium 1 (exiting out of).

MCAT tip: always assume 1 for the index of refraction of air
T/F: Resistivity of a current-carrying component immediately implies dissipation of heat
true
Which of the following is/are true regarding the mechanism in Figure 1?
Reaction 1 is a decarboxylation and reaction 2 is a dehydration.
NADP+ is reduced in reaction 1.
NADPH is oxidized in reaction 2.
A. II only
B. III only Your Answer
C. II and III only
D. I, II, and III

C. II and III only
C. Item I is false. In reaction 1, isocitrate loses a CO2, so this is a decarboxylation reaction. However, an oxygen atom is not lost in reaction 2 so it cannot be a dehydration reaction; it is a reduction (choice D is wrong). Item II is true. The carboxyl group of isocitrate will be oxidized when it leaves, to form CO2 and this must be paired with a reduction reaction. The passage says that both reactions 1 and 2 involve the cofactor nicotinamide adenine dinucleotide phosphate (or NADP+/NADPH). In reaction 1 therefore, NADP+ will be reduced to NADPH (choice B is wrong). Item III is true. In reaction 2, a carbonyl group is reduced to an hydroxyl group and this reduction must be paired with an oxidation. NADPH will therefore be used as a cofactor and NADP+ will be formed (choice A is wrong; option C is correct).
T.F: oxidation and reduction reactions are always coupled
true
T/F: decarboxylation relies on oxidiation
true (because it leaves as CO2)
Systolic blood pressure approaches 0 mm Hg when it reaches the:
A. capillaries.
B. arteries.
C. aorta.
D. right atrium.
D. right atrium. Correct Answer
Blood from the systemic circulation at the end of its circuit through the body enters the heart through the right atrium, and at this point its pressure is near 0 mm Hg (choice D is correct). Although blood pressure is relatively low in the capillaries, it is not 0 mm Hg, or it would never circulate all the way back to the heart (choice A is wrong). Blood leaves the heart through the aorta on its way to the systemic circulation and is at its highest pressure at that point (choice C is wrong); from the aorta the blood travels through many arteries, and the pressure in these vessels is still high (choice B is wrong).
oocytes transform from diploid to haploid at what stage?
All eggs are arrested at an early stage (prophase I) of the first meiotic division as a primary oocyte until puberty, at which point one egg per month (ovulation) completes meiosis 1 and becomes a haploid cell. It is then arrest in meiosis II until it is fertilized, at which point it completes meiosis
the joining of homologous chromosomes during meiosis I so that crossing over can occur is accomplished by
synapsis
_______________occurs when a lysogenic virus excises from the genome and takes a portion of the genome with it.
Transduction
speciation is
the formation of new and distinct species in the course of evolution. The Hardy-Weinberg equation does not apply
T/F: Fetal and maternal blood mix via the placenta
FALSE: They do not mix, so the only way substances can cross the placental barrier is if they are lipid soluble or if they are actively transported
given: you have a 15-mer oligonucleotide with 5’-GACTGCGGTTTTAAC-3’
question: is it double stranded?
Yes, the fact that it’s double stranded is given by the word oligonucleotide which is a short segement of DNA or RNA. Just because only one strand is represented doesn’t contradict this since you can infer the sequence of the other strand from it.