Transformação Química e Equilíbrio Flashcards

(84 cards)

1
Q

TQE:Equilibrio - V ou F?

A reação direta é endotérmica e a reação inversa é exotérmica.

19.1-38-01

A

A reação direta é exotérmica (ΔH < 0) e a inversa é endotérmica (ΔH > 0)

(F)

Resolução IEA

How well did you know this?
1
Not at all
2
3
4
5
Perfectly
2
Q

TQE:Equilibrio - V ou F?

A remoção de amônia do sistema deslocará o equilíbrio para a direita, no sentido de formação dos produtos

19.1-38-02

A

Neste caso, ao remover o produto (NH₃), a concentração de amônia diminui, o que provoca uma “falta” de NH₃ no sistema. Como resposta, o equilíbrio se desloca no sentido de formação de mais amônia (para a direita), ou seja, o sistema favorece a reação direta (produção de NH₃ a partir de N₂ e H₂) para tentar compensar a remoção do produto.

(V)

Resolução IEA

How well did you know this?
1
Not at all
2
3
4
5
Perfectly
3
Q

TQE:Equilibrio - V ou F?

O aumento da temperatura favorecerá o processo de produção de amônia.

19.1-38-04

A

O aumento da temperatura desloca o equilíbrio para a esquerda, favorecendo o consumo de amônia.

(F)

Resolução IEA

How well did you know this?
1
Not at all
2
3
4
5
Perfectly
4
Q

TQE:Equilibrio - V ou F?

A redução na pressão do sistema deslocará o equilíbrio para a esquerda.

19.1-38-08

A

A redução da pressão desloca o equilíbrio para a esquerda porque, nesse lado, há mais moléculas de gás (4 moléculas de N₂ e H₂) do que no lado dos produtos (2 moléculas de NH₃). O sistema compensa a queda de pressão favorecendo o lado que tem mais moléculas gasosas.

(V)

Resolução IEA

How well did you know this?
1
Not at all
2
3
4
5
Perfectly
5
Q

TQE:Equilibrio - V ou F?

A adição de hidrogênio em excesso ao sistema favorecerá a reação de formação dos reagentes.

19.1-38-16

A

A adição de hidrogênio favorece a formação dos produtos

(F)

Resolução IEA

How well did you know this?
1
Not at all
2
3
4
5
Perfectly
6
Q

TQE:Equilibrio - V ou F?

A presença de um catalisador reduzirá o tempo necessário para que a reação atinja o equilíbrio.

19.1-38-32

A

O catalizador acelera a velocidade da reação ao diminuir a energia de ativação, sem ser consumido no processo. Ele não altera o equilíbrio, apenas ajuda a atingi-lo mais rapidamente.

(V)

Resolução IEA

How well did you know this?
1
Not at all
2
3
4
5
Perfectly
7
Q

TQE:Equilibrio - V ou F?

Ao iniciar a reação, sua velocidade é reduzida gradativamente até que seja atingido o equilíbrio e, então, passa a ocorrer a variação nas concentrações de produtos e reagentes.

19.1-38-64

A

No equilíbrio(⇌) as concentrações são constantes.

(F)

Resolução IEA

How well did you know this?
1
Not at all
2
3
4
5
Perfectly
8
Q

TQE:Equilibrio - V ou F?

O valor de Keq indica que a formação de CH3CH2Br é favorecida.

12-34-04

A

✔️ Constante de equilíbrio (K): indica a relação entre produtos e reagentes em equilíbrio;
* K elevado → equilíbrio favorece produtos;
* K baixo → equilíbrio favorece reagentes;

👉 Quanto maior a K, maior a predominância de produtos; quanto menor, maior a predominância de reagentes.

(V)

Resolução IEA

How well did you know this?
1
Not at all
2
3
4
5
Perfectly
9
Q

TQE:Equilibrio - V ou F?

Trata-se de uma reação de eliminação

12-34-02

A

❌ Não se trata de reação de eliminação;
✔️ É uma reação de adição, pois o bromo é incorporado à molécula pela quebra da ligação π;
👉 A ligação π se rompe para que os átomos de bromo se adicionem, caracterizando a reação de adição.

(F)

Resolução IEA

How well did you know this?
1
Not at all
2
3
4
5
Perfectly
10
Q

TQE:Equilibrio - V ou F?

O valor de ∆H sugere que a reação é endotérmica.

12-34-01

A

❌ O valor de ∆H não indica reação endotérmica;
✔️ ∆H₀ = –84,1 kJ·mol⁻¹ → reação exotérmica;
👉 O sinal negativo mostra que energia é liberada para o ambiente durante a reação.

(F)

Resolução IEA

How well did you know this?
1
Not at all
2
3
4
5
Perfectly
11
Q

TQE:Equilibrio - V ou F?

O fato da reação apresentar ∆H<0 indica que a velocidade de obtenção do CH3CH2Br é alta.

12-34-08

A

❌ A variação de entalpia (∆H) não determina a velocidade da reação;
✔️ ∆H < 0 indica reação exotérmica, mas não garante que o CH₃CH₂Br se forme rapidamente;
👉 A velocidade depende de fatores cinéticos (como energia de ativação), não apenas da variação de entalpia.

(F)

Resolução IEA

How well did you know this?
1
Not at all
2
3
4
5
Perfectly
12
Q

TQE:Equilibrio - V ou F?

O nome IUPAC da substância CH3CH2Br é bromoetano.

12-34-16

A

✔️ CH₃CH₂Br → bromoetano (2 carbonos → et-, ligação simples → -an-, substituinte bromo);
👉 Nome IUPAC: haleto orgânico = nome do halogênio + nome do alcano correspondente.

(V)

Resolução IEA

How well did you know this?
1
Not at all
2
3
4
5
Perfectly
13
Q

TQE:Equilibrio - V ou F?

Na molécula do eteno, há duas ligações sigma C-H.

12-34-32

A

❌ A molécula do eteno não possui apenas duas ligações σ C–H;
✔️Eteno H₂C=CH₂
* 4 ligações σ entre C–H
* 1 ligação σ entre C–C
* 1 ligação π entre C=C

👉Toda ligação simples = sigma (σ)
Ligação dupla = 1 sigma + 1 pi

(F)

Resolução IEA

How well did you know this?
1
Not at all
2
3
4
5
Perfectly
14
Q

TQE:Equilibrio - V ou F?

O consumo de HClO na destruição de microorganismos desloca o equilíbrio da reação para a esquerda.

2006-22-02

A

Cl₂ + H₂O ⇌ HCl + HClO
🔹 HClO é consumido(retirado do sistema)
🔹 O sistema tenta repor HClO(Le Chatelier)
🔹 Equilíbrio se desloca para a direita

💡 Dica:
Tirar produto → equilíbrio vai para a direita.

(F)

Resolução IEA

How well did you know this?
1
Not at all
2
3
4
5
Perfectly
15
Q

TQE:Equilibrio - V ou F?

Para deslocar o equilíbrio no sentido de formação do biodiesel, deve-se usar etanol em excesso.

2006-26-02

A

Reação:
Óleo vegetal (A) + Etanol ⇌ Glicerol (B) + Ésteres (biodiesel, C)

💡Dica:
Excesso de reagente → favorece a formação de produto.

(V)

Resolução IEA

How well did you know this?
1
Not at all
2
3
4
5
Perfectly
16
Q

TQE:Equilibrio - V ou F?

O aumento da concentração de H2 (ou de sua pressão parcial) não altera a concentração de
metanol no equilíbrio.

2006-27-01

A

Aumentar [H₂] desloca o equilíbrio para a direita, aumentando [CH₃OH].

(F)

Resolução IEA

How well did you know this?
1
Not at all
2
3
4
5
Perfectly
17
Q

TQE:Equilibrio - V ou F?

Trata-se de uma reação endotérmica.

2006-27-02

A
  • Exotérmicas: 🔥 ΔH < 0 (libera calor)
  • Endotérmicas: ❄️ ΔH > 0 (absorve calor)

(F)

Resolução IEA

How well did you know this?
1
Not at all
2
3
4
5
Perfectly
18
Q

TQE: Sintese- V ou F?

A diminuição da temperatura favorece a síntese do metanol.

2006-27-04

A

💡 Dica para decorar:
* Temperatura ↓ → favorece o lado que libera calor (metanol/produtos).
* Temperatura ↑ → favorece o lado que absorve calor( retorno a CO e H₂ /reagentes).

(V)

Resolução IEA

How well did you know this?
1
Not at all
2
3
4
5
Perfectly
19
Q

TQE: constante de equilíbrio- V ou F?

A expressão da constante de equilíbrio da reação, em função da concentração, é dada por Kc = [CO] [H2]2 / [CH3OH] (2 elevado ao quadrado).

2006-27-08

A

A expressão correta para (Kc) da reação de síntese do metanol é:
* Kc = [CH3OH] / ([CO] [H2]^2)

💡Dica:
Kc = [produtos] / [reagentes], com expoentes iguais aos coeficientes estequiométricos.

(F)

Resolução IEA

How well did you know this?
1
Not at all
2
3
4
5
Perfectly
20
Q

TQE: sentido reação- V ou F?

A adição do composto I ou II em excesso favorecerá a reação no sentido indicado pela letra “b”, deslocando o equilíbrio da reação para a esquerda.

17-35-32

A

O aumento da concentração de um dos reagentes desloca o equilíbrio no sentido dos produtos.

Ao adicionarmos um composto a um equilíbrio químico, deslocaremos a reação para o lado inverso do lado onde foi colocado esse composto. Se adicionarmos tanto I ou II (do lado esquerdo), deslocaremos a reação para o lado direito.

(F)

https://www.youtube.com/watch?v=KVCZo666F7c&list=PLCxfdVR3Ceecq3Q5TrcSoglgzfyy5TA7e&index=5

How well did you know this?
1
Not at all
2
3
4
5
Perfectly
21
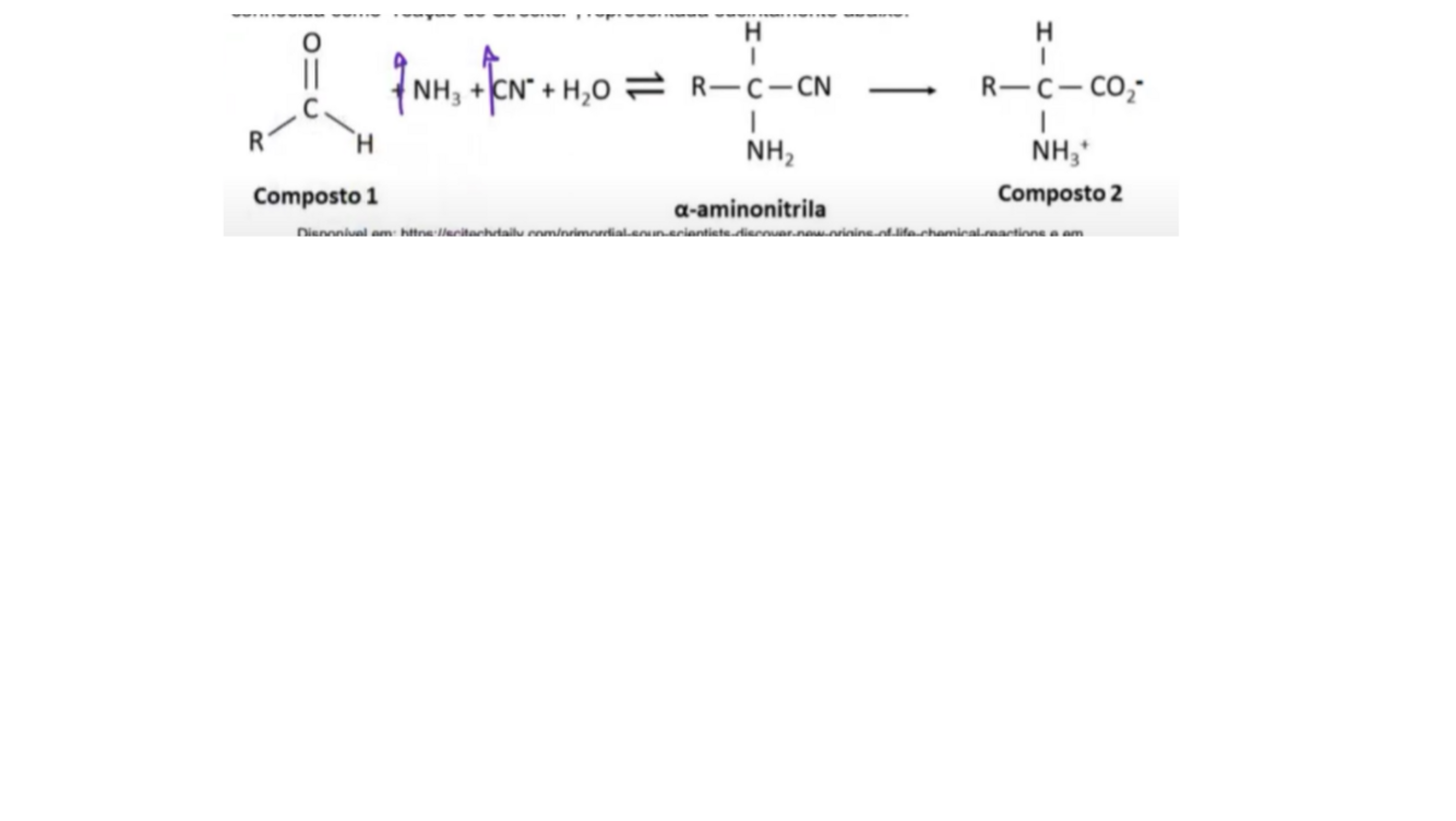
Q

TQE: -Concentração-V ou F?

a reação de formação de α-aminonitrila será favorecida se as concentrações de CN- e NH3 forem aumentadas.

23-37-01

A

Aumentando as concentrações de um lado o equilibrio vai se deslocaar para o lado oposto. No caso da reação exposta como esta aumentando a concentração dos reagentes (Cianeto e amonia) o equilibrio será deslocado para direita, isto favorece a formação de α-aminonitrila.

(V)

https://www.youtube.com/watch?v=e-dMk3Y_1MQ

How well did you know this?
1
Not at all
2
3
4
5
Perfectly
22
Q

TQE: Agua- PH-V ou F?

a α-aminonitrila é hidrossolúvel, já que forma ligações iônicas com a molécula de água em condições de pH elevado.

23-37-02

A

Quando a molecula α-aminonitrila interage com a molecula de água tem uma interação intermoleculares , não ligações ionicas que acontecem na eletrosfera.

Como na α-aminonitrila tem Hidrogenio ligado ao nitrogenio pode forma com a água ligações ou ponte de hidrogenio .

(F)

https://www.youtube.com/watch?v=e-dMk3Y_1MQ

How well did you know this?
1
Not at all
2
3
4
5
Perfectly
23
Q

TQE:Grupo funcional -V ou F?

se, no composto 1, “R” for um átomo de hidrogênio, tem-se uma cetona

23-37-04

A

Para o composto 1, ser cetona o carbono que se liga ao oxigenio atraves de uma dupla ligação , deveria está entre dois carbonos.

(F)

https://www.youtube.com/watch?v=e-dMk3Y_1MQ

How well did you know this?
1
Not at all
2
3
4
5
Perfectly
24
Q

TQE: Biomoleculas-V ou F?

os aminoácidos são constituintes das proteínas e das enzimas e, portanto, fundamentais para a existência de seres vivos.

23-37-08

A

Verdade, está informação esta descrita no texto .

(V)

https://www.youtube.com/watch?v=e-dMk3Y_1MQ

How well did you know this?
1
Not at all
2
3
4
5
Perfectly
25
# **TQE: -V ou F?** se, no composto 2, “R” for um átomo de hidrogênio, o composto será classificado como um dipeptídeo. ## Footnote **23-37-16**
Para um composto ser considerado dipeptideo , é necessario que ocorra uma ligação peptidica que é uma ligação entre o grupo da carboxila (COOH), com o grupo amina do outro composto , que é o outro aminoacido, que no caso do composto 2 , não vai ter este tipo de ligação. | **(F)** ## Footnote **https://www.youtube.com/watch?v=e-dMk3Y_1MQ**
26
# **Organica:Função -V ou F?** a molécula de sacarose possui, em sua estrutura, o grupo funcional característico de ácido carboxílico. ## Footnote **24-34-01**
| **(F)** ## Footnote **https://www.youtube.com/watch?v=Lk1vImHr9Wo**
27
# **Ligação quimica -V ou F?** por ter ligações iônicas entre seus átomos, a sacarose, ao se dissolver em água, produz uma solução eletrolítica. ## Footnote **24-34-02**
| **(F)** ## Footnote **https://www.youtube.com/watch?v=Lk1vImHr9Wo**
28
# **Massa molar -V ou F?** ao se misturar 10 g de sacarose com 10 g de água, será formado um sistema com a mesma quantidade de moléculas de água e de sacarose. ## Footnote **24-34-04**
| **(F)** ## Footnote **https://www.youtube.com/watch?v=Lk1vImHr9Wo**
29
# **Ligação quimica -V ou F?** a sacarose interage com a água por meio de ligações de hidrogênio, que facilitam a solubilização desse açúcar. ## Footnote **24-34-08**
| **(V)** ## Footnote **https://www.youtube.com/watch?v=Lk1vImHr9Wo**
30
# **Organica:Função -V ou F?** na estrutura da sacarose, cada átomo de carbono realiza três ligações covalentes com átomos vizinhos, já que se trata de uma molécula com insaturações. ## Footnote **24-34-16**
| **(F)** ## Footnote **https://www.youtube.com/watch?v=Lk1vImHr9Wo**
31
# **Organica:Função -V ou F?** os átomos de carbono na estrutura da sacarose apresentam orbitais híbridos do tipo sp3 . ## Footnote **24-34-32**
| **(V)** ## Footnote **https://www.youtube.com/watch?v=Lk1vImHr9Wo**
32
# **Água:mudança de estado -V ou F?** à medida que a água é aquecida, sua pressão de vapor aumenta e, portanto, parte da água passa para o estado gasoso. ## Footnote **24-38-01**
Colocar escrita video | **(V)** ## Footnote **https://www.youtube.com/watch?v=Lk1vImHr9Wo**
33
# **Soluções -V ou F?** a evaporação da água faz com que a concentração de NaCl na panela aumente. ## Footnote **24-38-02**
Colocar escrita video | **(V)** ## Footnote **https://www.youtube.com/watch?v=Lk1vImHr9Wo**
34
# **Soluções -V ou F?** a solução aquosa contendo NaCl entra em ebulição a uma temperatura maior do que a água pura, mantidas as mesmas condições atmosféricas de pressão. ## Footnote **24-38-04**
Colocar escrita video | **(V)** ## Footnote **https://www.youtube.com/watch?v=Lk1vImHr9Wo**
35
# **Soluções -V ou F?** se a panela for completamente fechada com uma tampa, a pressão em seu interior irá aumentar com o aumento da temperatura, o que fará com que a solução salina entre em ebulição em uma temperatura inferior a 100 0C.. ## Footnote **24-38-08**
Colocar escrita video | **(F)** ## Footnote **https://www.youtube.com/watch?v=Lk1vImHr9Wo**
36
# **Soluções -V ou F?** o vapor observado ao aquecer o líquido da panela é constituído por quantidades equimolares de NaCl e água, já que as massas de reagentes e produtos devem ser mantidas constantes em uma reação química.. ## Footnote **24-38-16**
Colocar escrita video | **(F)** ## Footnote **https://www.youtube.com/watch?v=Lk1vImHr9Wo**
37
# **Tipo de transformação-V ou F?** a evaporação da água representa um fenômeno químico, já que as moléculas de água que interagiam por ligações de hidrogênio na fase líquida passam a interagir por forças de van der Waals na fase gasosa. ## Footnote **24-38-32**
Colocar escrita video | **(F)** ## Footnote **https://www.youtube.com/watch?v=Lk1vImHr9Wo**
38
# **Tipo de transformação-V ou F?** o 1,1,1,2-tetrafluoroetano é formado por ligações insaturadas, o que o torna mais solúvel em água do que o diclorofluorometano. ## Footnote **25-31-01**
Colocar escrita video | **(F)** ## Footnote **https://www.youtube.com/watch?v=R6H1RqsKztI**
39
# **Organica -V ou F?** os gases como HCF e HCFC são hidrocarbonetos que, quando entram em combustão no sistema de refrigeração de um condicionador de ar, poluem a atmosfera por gerar CO2 e CO como produtos. ## Footnote **25-31-02**
Colocar escrita video | **(F)** ## Footnote **https://www.youtube.com/watch?v=R6H1RqsKztI**
40
# **Polaridade-V ou F?** os HCF e HCFC, representados no enunciado, são insolúveis no vapor de água da atmosfera, já que constituem exemplos de moléculas apolares ## Footnote **25-31-04**
Colocar escrita video | **(F)** ## Footnote **https://www.youtube.com/watch?v=R6H1RqsKztI**
41
# **Ambiental-V ou F?** a degradação da camada de ozônio é um processo relacionado à ação humana. ## Footnote **25-31-08**
Colocar escrita video | **(V)** ## Footnote **https://www.youtube.com/watch?v=R6H1RqsKztI**
42
# **Ambiental/tabela periodica-V ou F?** por se tratar de gases inertes, o HFC e o HCFC descritos no enunciado se comportam como gases nobres, o que explica seu impacto danoso sobre a camada de ozônio. ## Footnote **25-31-16**
Colocar escrita video | **(F)** ## Footnote **https://www.youtube.com/watch?v=R6H1RqsKztI**
43
# **Gases-V ou F?** os gases em questão são compressíveis, ou seja, diminuem de volume com o aumento da pressão ## Footnote **25-31-32**
Colocar escrita video | **(V)** ## Footnote **https://www.youtube.com/watch?v=R6H1RqsKztI**
44
# **Solubilidade-V ou F?** os odores diminuem em um dia de inverno com temperatura de 0 °C, pois esse é o ponto de solidificação das moléculas listadas no enunciado, que, uma vez solidificadas, têm suas solubilidades aumentadas no suor ## Footnote **25-32-01**
Colocar escrita video | **(F)** ## Footnote **https://www.youtube.com/watch?v=R6H1RqsKztI**
45
# **Polaridade-V ou F?** as moléculas listadas são polares e hidrofílicas, o que faz com que sua solubilidade no suor seja baixa, favorecendo a evaporação. ## Footnote **25-32-02**
Colocar escrita video | **(F)** ## Footnote **https://www.youtube.com/watch?v=R6H1RqsKztI**
46
# **Pressão-V ou F?** com o aumento da temperatura, as substâncias do enunciado têm maior pressão de vapor, o que faz com que evaporem em maior quantidade e, portanto, produzam odor mais intenso. ## Footnote **25-32-04**
Colocar escrita video | **(V)** ## Footnote **https://www.youtube.com/watch?v=R6H1RqsKztI**
47
# **Escala PH-V ou F?** lavar as axilas com um sabão neutro, de pH igual a 7,0, faz com que as moléculas do enunciado sejam protonadas e, portanto, sejam vaporizadas com menor eficiência, reduzindo o odor. ## Footnote **25-32-08**
Colocar escrita video | **(F)** ## Footnote **https://www.youtube.com/watch?v=R6H1RqsKztI**
48
# **Polaridade-V ou F?** lenços umedecidos que possuem etanol em sua composição são uma alternativa eficiente para a higienização das axilas, já que o etanol é um sabão, capaz de interagir tanto com moléculas polares quanto apolares. ## Footnote **25-32-16**
Colocar escrita video | **(F)** ## Footnote **https://www.youtube.com/watch?v=R6H1RqsKztI**
49
# **Mudança de estado-V ou F?** o “cheirinho de bebê”, atribuído, em parte, à vanilina, é decorrente da evaporação dessas moléculas, que chegam às células do olfato ## Footnote **25-32-32**
Colocar escrita video | **(V)** ## Footnote **https://www.youtube.com/watch?v=R6H1RqsKztI**
50
# **Escala de PH-V ou F?** Ao misturar quantidades iguais em volume da solução do copo 1 com a solução do copo 3, a estudante terá uma solução neutra, ou seja, com pH igual a 7,0. ## Footnote **25-39-01**
Colocar escrita video | **(F)** ## Footnote **https://www.youtube.com/watch?v=R6H1RqsKztI**
51
# **Escala de PH-V ou F?** A solução presente no copo 5 terá pH menor do que 7,0. ## Footnote **25-39-02**
Colocar escrita video | **V** ## Footnote **https://www.youtube.com/watch?v=R6H1RqsKztI**
52
# **Escala de PH-V ou F?** Os copos 2 e 4 contêm soluções salinas. ## Footnote **25-39-04**
Colocar escrita video | **(F)** ## Footnote **https://www.youtube.com/watch?v=R6H1RqsKztI**
53
# **Escala de PH-V ou F?** A solução do copo 2 não conduz corrente elétrica. ## Footnote **25-39-08**
Colocar escrita video | **(F)** ## Footnote **https://www.youtube.com/watch?v=R6H1RqsKztI**
54
# **Escala de PH-V ou F?** Ao misturar volumes iguais das soluções 1 e 2, a concentração de NaCℓ diminuirá pela metade, ou seja, será de 5,0 g/L. ## Footnote **25-39-16**
Colocar escrita video | **(V)** ## Footnote **https://www.youtube.com/watch?v=R6H1RqsKztI**
55
# **Escala de PH-V ou F?** As soluções dos copos 1 e 4 apresentam pH menor do que 7,0. ## Footnote **25-39-32**
Colocar escrita video | **(F)** ## Footnote **https://www.youtube.com/watch?v=R6H1RqsKztI**
56
# **Nuclear- V ou F?** os elementos formados pelo decaimento descrito no enunciado têm massa atômica menor que o Ra. ## Footnote **24.2-36-01**
**(V)** ## Footnote **https://www.youtube.com/watch?v=QMk3gDYHf60&t=5728s**
57
# **Nuclear- V ou F?** no processo de decaimento, o elemento Ra perde dois elétrons e dois nêutrons. ## Footnote **24.2-36-02**
**(F)** ## Footnote **https://www.youtube.com/watch?v=QMk3gDYHf60&t=5728s**
58
# **Nuclear- V ou F?** o processo descrito no enunciado não envolve partículas do núcleo atômico. ## Footnote **24.2-36-04**
**(F)** ## Footnote **https://www.youtube.com/watch?v=QMk3gDYHf60&t=5728s**
59
# **Nuclear- V ou F?** o Rn formado no processo de decaimento do Ra tem o mesmo número de nêutrons que o elemento que lhe deu origem. ## Footnote **24.2-36-08**
**(F)** ## Footnote **https://www.youtube.com/watch?v=QMk3gDYHf60&t=5728s**
60
# **Nuclear- V ou F?** o He formado no processo de decaimento tem dois prótons e dois nêutrons no seu núcleo atômico. ## Footnote **24.2-36-16**
**(V)** ## Footnote **https://www.youtube.com/watch?v=QMk3gDYHf60&t=5728s**
61
# **Nuclear- V ou F?** o urânio tem massa atômica maior que a do elemento Ra. ## Footnote **24.2-36-32**
**(V)** ## Footnote **https://www.youtube.com/watch?v=QMk3gDYHf60&t=5728s**
62
# **Pressão- V ou F?** inflar uma bola de basquete significa injetar maior quantidade de ar em seu interior, o que irá resultar em aumento de pressão sobre as paredes internas da bola. ## Footnote **24.2-37-01**
**(V)** ## Footnote **https://www.youtube.com/watch?v=QMk3gDYHf60&t=5728s**
63
# **Pressão- V ou F?** uma bola mantida com pressão interna de 7,5 psi terá maior proporção de oxigênio que uma bola pressurizada a 8,5 psi. ## Footnote **24.2-37-02**
**(F)** ## Footnote **https://www.youtube.com/watch?v=QMk3gDYHf60&t=5728s**
64
# **Pressão- V ou F?** nas condições descritas no enunciado, a pressão no interior da bola é inferior à pressão atmosférica, o que significa que o ar no interior da bola permanece parcialmente liquefeito. ## Footnote **24.2-37-04**
**(F)** ## Footnote **https://www.youtube.com/watch?v=QMk3gDYHf60&t=5728s**
65
# **Pressão- V ou F?** considerando-se quantidades idênticas de ar, a pressão exercida pelo ar no interior da bola será maior em um jogo em um dia de verão a 38 °C do que em um dia de inverno a 10 °C. ## Footnote **24.2-37-16**
**(V)** ## Footnote **https://www.youtube.com/watch?v=QMk3gDYHf60&t=5728s**
66
# **Pressão- V ou F?** quando uma bola de basquete é rasgada, o ar em seu interior mistura-se ao ar ambiente e a pressão é reduzida até que o ambiente atinja a pressão originalmente presente no interior da bola. ## Footnote **24.2-37-32**
**(F)** ## Footnote **https://www.youtube.com/watch?v=QMk3gDYHf60&t=5728s**
67
# **Pressão/PH- V ou F?** as bolhas no interior do refrigerante quando mantido sobre a mesa em um dia com temperatura de 35 °C sugerem que a mistura entre CO2 e água é homogênea. ## Footnote **24.2-38-01**
**(F)** ## Footnote **https://www.youtube.com/watch?v=QMk3gDYHf60&t=5728s**
68
# **Pressão/PH- V ou F?** a concentração de CO2 em um refrigerante será mantida se a garrafa for retirada da geladeira e permanecer aberta sobre a mesa em um dia de verão. ## Footnote **24.2-38-02**
**(F)** ## Footnote **https://www.youtube.com/watch?v=QMk3gDYHf60&t=5728s**
69
# **Pressão/PH- V ou F?** quando ingerimos refrigerante, há uma reação de neutralização com o líquido estomacal, que é formado por uma solução de HCℓ e, portanto, possui pH alcalino. ## Footnote **24.2-38-04**
**(F)** ## Footnote **https://www.youtube.com/watch?v=QMk3gDYHf60&t=5728s**
70
# **Pressão/PH- V ou F?** refrigerantes possuem pH inferior a 7,0 e, portanto, contêm concentração de íons hidrônio superior à de íons hidróxido (OH-). ## Footnote **24.2-38-08**
**(V)** ## Footnote **https://www.youtube.com/watch?v=QMk3gDYHf60&t=5728s**
71
# **Pressão/PH- V ou F?** a produção de ácido carbônico no refrigerante a partir da mistura entre CO2 e água caracteriza um fenômeno químico. ## Footnote **24.2-38-16**
**(V)** ## Footnote **https://www.youtube.com/watch?v=QMk3gDYHf60&t=5728s**
72
# **Pressão/PH- V ou F?** a reação entre CO2 e água no refrigerante é característica de uma neutralização, já que deriva da reação entre um ácido (CO2) e uma base forte (H2O). ## Footnote **24.2-38-32**
**(F)** ## Footnote **https://www.youtube.com/watch?v=QMk3gDYHf60&t=5728s**
73
# **Grafico- estados fisicos - V ou F?** No tempo t2 coexistem sólido e líquido. ## Footnote **11-38-01**
❌No tempo t2 não coexistem sólido e líquido; ✔️Em t₂, a fusão termina; A partir de t₂, a substância está totalmente no estado líquido; 👉A coexistência de sólido e líquido ocorre no intervalo entre t₁ e t₂. | **(F)** ## Footnote **Resolução IEA**
74
# **Grafico- estados fisicos - V ou F?** A temperatura T2 representa o ponto de ebulição da substância. ## Footnote **11-38-02**
✔️– No intervalo de t₃ a t₄ ocorre a ebulição à temperatura constante T₂; 👉 Portanto, T₂ representa o ponto de ebulição da substância. | **(V)** ## Footnote **Resolução IEA**
75
# **Grafico- estados fisicos - V ou F?** No intervalo de tempo t3 a t4, os estados líquido e vapor da substância coexistem a uma temperatura constante. ## Footnote **11-38-04**
✔️No intervalo t₃ a t₄, os estados líquido e vapor coexistem a temperatura constante; 👉 Esse é o processo de ebulição. | **(V)** ## Footnote **Resolução IEA**
76
# **Grafico- estados fisicos - V ou F?** A curva de aquecimento mostra que a substância não é pura, mas sim, uma mistura homogênea simples. ## Footnote **11-38-08**
❌Substâncias puras apresentam patamares (temperatura constante) nas mudanças de estado, como mostrado no gráfico; ✔️ Misturas não apresentam esses patamares, pois a temperatura varia durante a mudança de estado; 👉 Logo, a substância do gráfico é pura, não mistura. | **(F)** ## Footnote **Resolução IEA**
77
# **Grafico- estados fisicos - V ou F?** O tempo t1 representa o início da vaporização da substância. ## Footnote **11-38-16**
❌Em t₁ começa a fusão, não a vaporização; ✔️ A vaporização inicia-se em t₃; 👉Portanto, t₁ marca o início da fusão, não da vaporização. | **(F)** ## Footnote **Resolução IEA**
78
# **Grafico- estados fisicos - V ou F?** No intervalo de tempo t2 a t3, a substância se encontra no estado líquido a uma temperatura que varia de T1 a T2. ## Footnote **11-38-32**
✔️Nesse trecho ocorre o aquecimento do líquido; 👉com aumento de temperatura de T₁ até T₂. | **(V)** ## Footnote **Resolução IEA**
79
# **Grafico- estados fisicos - V ou F?** A maneira caseira de remover películas escuras de pratarias representa um exemplo de célula galvânica. ## Footnote **11-40-01**
**(V)** ## Footnote **https://www.youtube.com/watch?v=6pvowLMOYeE&t=674s**
80
# **Grafico- estados fisicos - V ou F?** A folha de papel alumínio, menor potencial de redução, é o catodo e a peça de prata é o anodo. ## Footnote **11-40-02**
**(F)** ## Footnote **https://www.youtube.com/watch?v=6pvowLMOYeE&t=674s**
81
# **Grafico- estados fisicos - V ou F?** À medida que a reação ocorre, uma pequena quantidade de alumínio na folha é oxidada, dissolvendo-se na solução. ## Footnote **11-40-04**
**(V)** ## Footnote **https://www.youtube.com/watch?v=6pvowLMOYeE&t=674s**
82
# **Grafico- estados fisicos - V ou F?** O papel alumínio é apenas um protetor da peça de prata porque o agente redutor, neste caso, é o bicarbonato de sódio, que se oxida e forma o dióxido de carbono como um dos produtos. ## Footnote **11-40-08**
**(F)** ## Footnote **https://www.youtube.com/watch?v=6pvowLMOYeE&t=674s**
83
# **Grafico- estados fisicos - V ou F?** A semirreação, já balanceada, de deposição da prata na superfície da peça, pode ser representada como: 3Ag2S(s) + 6e- → 6Ag(s) + 3S^2-. ## Footnote **11-40-16**
**(V)** ## Footnote **https://www.youtube.com/watch?v=6pvowLMOYeE&t=674s**
84
# **Grafico- estados fisicos - V ou F?** A película escura, Ag2S, tem duplo papel, funcionando como agente redutor e como oxidante, pois forma Ag^0 e S^2-. ## Footnote **11-40-32**
**(F)** ## Footnote **https://www.youtube.com/watch?v=6pvowLMOYeE&t=674s**