MSLT 1
1994 - 2002
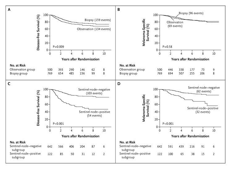
1269 patients. Clark 3 Brelow 1mm or more, or Clark 4/5
Group 1: WLE + observation
Group 2: WLE + SNB +/- LND
Slight improvement in 5y disease free survival
5y Melanoma specific survival same

MSLT 2
2004 - 2014
1934 patients
Group 1: WLE + SNB(+ve) + LND
Group 2: WLE + SNB(+ve) + observation