Tangent
OPP/ADJ
Y/X
Cotangent
Symmetric around origin - period π
Cosine
ADJ/HYP
x
Secant
Start (0,1) - Period 2π
Sine
OPP/HYP
y
Cosecant
Start (0,0) - Period 2π
π/6
30 (√3/2, 1/2)
Tangent √3/3
π/4
45 ( √2/2, √2/2)
Tangent 1
π/3
60 ( 1/2, √3/2)
Tangent √3
0, 90, 180, 360
0 (1,0) Tangent 0
90 (0,1) Tangent Undefined
180 (-1, 0) Tangent 0
360 (1,0) Tangent 0
Secondary Trig Functions
CSC h/y 1/SIN
SEC h/x 1/COS
COT x/y 1/TAN
Pythagorean identities

Double Angle

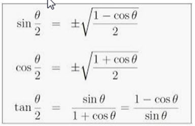
Half Angle

Addition
Subtraction
