Trigonometry Flashcards

(91 cards)

1
Q

1.1 Formula of a Radian

A
How well did you know this?
1
Not at all
2
3
4
5
Perfectly
2
Q

1.1: Formula for Arc Length

A
How well did you know this?
1
Not at all
2
3
4
5
Perfectly
3
Q

1.1: Radian and Degree Conversion

A
How well did you know this?
1
Not at all
2
3
4
5
Perfectly
4
Q

1.1: Linear and Angular Speed Formulas

A
How well did you know this?
1
Not at all
2
3
4
5
Perfectly
5
Q

1.1: Area of a Sector of a Circle

A
How well did you know this?
1
Not at all
2
3
4
5
Perfectly
6
Q

1.1: Complementary Angles, Supplementary Angles, Coterminal Angles

A

Two angles whose sum is 180º.

Two angles whose sum is 90º.

Two angles that share the same initial and terminal sides.

How well did you know this?
1
Not at all
2
3
4
5
Perfectly
7
Q

3.1 Law of Sines

A
How well did you know this?
1
Not at all
2
3
4
5
Perfectly
8
Q

3.1: Area of an Oblique Triangle

(two sides and an interior angle)

A
How well did you know this?
1
Not at all
2
3
4
5
Perfectly
9
Q

3.2: Law of Cosines

(three sides, two sides and an interior angle)

A
How well did you know this?
1
Not at all
2
3
4
5
Perfectly
10
Q

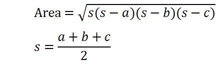
3.2: Heron’s Area Formula

(Any triangle, three sides)

A
How well did you know this?
1
Not at all
2
3
4
5
Perfectly
11
Q

3.2: Law of Tangents

(Two sides and an included angle)

A
How well did you know this?
1
Not at all
2
3
4
5
Perfectly
12
Q

3.3: Component form of a Vector

A
How well did you know this?
1
Not at all
2
3
4
5
Perfectly
13
Q

3.3: Magnitude/Length of a Vector

A
How well did you know this?
1
Not at all
2
3
4
5
Perfectly
14
Q

3.3: A Zero Vector and a Unit Vector

A
How well did you know this?
1
Not at all
2
3
4
5
Perfectly
15
Q

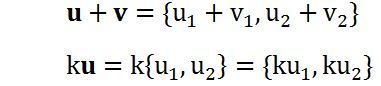
3.3: Addition and Scalar Multiplication of Two Vectors

A
How well did you know this?
1
Not at all
2
3
4
5
Perfectly
16
Q

3.3: Finding a Unit Vector

A
How well did you know this?
1
Not at all
2
3
4
5
Perfectly
17
Q

3.3: Angle of a Vector

A
How well did you know this?
1
Not at all
2
3
4
5
Perfectly
18
Q

3.4: Dot Product of Two Vectors

A
How well did you know this?
1
Not at all
2
3
4
5
Perfectly
19
Q

3.4: Finding Magnitude from the Dot Product

A
How well did you know this?
1
Not at all
2
3
4
5
Perfectly
20
Q

3.4: The Angle Between Two Vectors

A
How well did you know this?
1
Not at all
2
3
4
5
Perfectly
21
Q

3.4: Definitions of Orthogonal Vectors

A
How well did you know this?
1
Not at all
2
3
4
5
Perfectly
22
Q

3.4: Projection of u onto v

A
How well did you know this?
1
Not at all
2
3
4
5
Perfectly
23
Q

3.4: Definition of Work

A
How well did you know this?
1
Not at all
2
3
4
5
Perfectly
24
Q

4.1: Complex Conjugate

A
How well did you know this?
1
Not at all
2
3
4
5
Perfectly
25
3.1: Principle Square Root of a Negative Number
26
4.1: The Fundamental Theorem of Algebra
If f(x) is a polynomial of degree n, where n\>0, then f has at least one zero in the complex number system.
27
4.2: Linear Factorization Theorem
If f(x) is a polynomial of degree n, where n\>0, then f has precisely n linear factors.
28
4.2: The Discriminant
b²–4ac from the quadratic formula. If b²–4ac\<0 the equation has two complex solutions. If b²–4ac=0 the equation has one repeated real solution. If b²–4ac\>0 the equation has two distinct real solutions.
29
4.3: Trigonometric Form of a Complex Number
30
4.3: Multiplication and Division of Two Complex Numbers
31
4.4: Demoivre's Theorem
32
4.4: Finding nth roots of a Complex Number
33
6.1: Inclination and Slope
34
6.1: Angle Between Two Lines
35
6.1: Distance Between a Point and a Line
36
6.2: Definition of a Parabola
A parabola is the set of all points (*x, y*) in a plane that are equidistant from a fixed line **(directrix)** and a fixed point **(focus)** not on the line.
37
6.2: Standard Equation of a Parabola
38
6.2: Focal Chord
A line segment that passes through the focus of a parabola and has endpoints on the parabola.
39
6.2: Latus Rectum
The specific focal chord perpendicular to the axis of the parabola.
40
6.2: Finding the Slope Tangent Line at a Point on a Parabola
1. Use the distance formula to find the distance between the focus and the point of tangency. 2. Subtract the distance found in 1 from the focus in the direction of the axis. 3. Use the point slope formula to find the slope of the tangent line.
41
6.3: Definition of an Ellipse.
An **ellipse** is the set of all points (*x, y*)in a plane, the sum of whose distances from two distinct fixed points **(foci)** is constant.
42
6.3: Standard Equation of an Ellipse
43
6.3: Definition of Eccentricity
44
6.4: Definition of Hyperbola
A hyperbola is the set of all points (*x, y*)in a plane, the difference of whose distances from two distinct fixed points (foci) is a positive constant.
45
6.4: Standard Equation of a Hyperbola
46
6.4: Asymptotes of a Hyperbola
47
6.5: Equation of Conic in the *xy* plane.
48
6.5: Rotation of Axes to Eliminate an xy-Term
49
6.5: Classification of Conics by the Discriminant
50
6.6: Definition of a Parametric Equation
Writing both *x* and *y* as functions of a third variable.
51
6.6: Definition of Plane Curve
If *f* and *g* are continuous functions of *t* on the interval *I,* the set of ordered pairs (*f* (*t* )), (*g* (*t* )) is a **plane curve** *C.*
52
6.6: Eliminating the Parameter Converting Parametric Equations into a Rectangular Equation
1. Parametric Equations 2. Solve for the parametric variable in one equation 3. Substitute in the other equation 4. Rectangular Equation
53
6.7: Polar Coordinate System
54
6.7: Coordinate Conversion
55
6.7: Equation Conversion
56
P.2: The Quadratic Formula
57
P.3: The Distance Formula
58
P.3: The Midpoint Formula
59
P.3: Standard Form of the Equation of a Circle
60
P:4: The Slope of a Line Passing Through Two Points
61
P.4: Point-Slope Form of the Equation of a Line
62
1.5: Graphs of Sine and Cosine Functions Define each parameter
63
2.1: Reciprocal Identities of the 6 Trigonometric Functions
64
2.1: Quotient Identities of Tangent and Cotangent
65
2.1: Pythagorean Identities
66
2.1: 6 Trigonometric Cofunction Identities
67
2.1: Even/Odd Identities of 6 Trigonometric Functions
68
2.4: Sum and Difference Formulas (sin)
69
2.4: Sum and Difference Formulas
70
2.4: Sum and Difference Formulas
71
2.5: Double-Angle Formulas (sin)
72
2.5: Double-Angle Formulas (cos)
73
2.5: Double-Angle Formulas (tan)
74
2.5: Power-Reducing Formulas (sin)
75
2.5: Power-Reducing Formulas (cos)
76
2.5: Power-Reducing Formulas (tan)
77
2.5: Product-to-Sum Formulas
78
2.5: Product-to-Sum Formulas
79
2.5: Product-to-Sum Formulas
80
2.5: Product-to-Sum Formulas
81
2.5: Sum-to-Product Formulas
82
2.5: Sum-to-Product Formulas
83
2.5: Sum-to-Product Formulas
84
2.5: Sum-to-Product Formulas
85
5.1: Formulas for Compound Interest
86
5.3: Logorithm Change-of-Base Formulas
87
5.5: Exponential Growth Model
88
5.5: Exponential Decay Model
89
5.5: Gaussian Model
90
5.5: Logistic Growth Model
91
5.5: Logarithmic Models