Tutorial 4 Flashcards

(11 cards)

1
Q
A
How well did you know this?
1
Not at all
2
3
4
5
Perfectly
2
Q
A
How well did you know this?
1
Not at all
2
3
4
5
Perfectly
3
Q
A
How well did you know this?
1
Not at all
2
3
4
5
Perfectly
4
Q
A

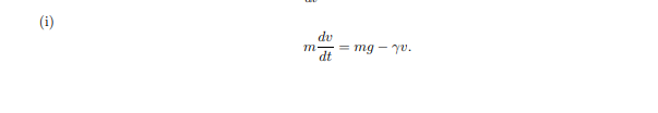
Not an ODE, nevermind Linear ODE-No differentiation

How well did you know this?
1
Not at all
2
3
4
5
Perfectly
5
Q
A

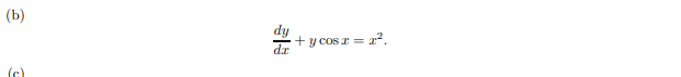
Not a linear ODE- must have y^1 Not a linear ODE if they have a power>1 for Y

How well did you know this?
1
Not at all
2
3
4
5
Perfectly
6
Q

2(dy/dx)+4y=3

A
How well did you know this?
1
Not at all
2
3
4
5
Perfectly
7
Q

dy/y-y=e^2x

A
How well did you know this?
1
Not at all
2
3
4
5
Perfectly
8
Q
A
How well did you know this?
1
Not at all
2
3
4
5
Perfectly
9
Q
A

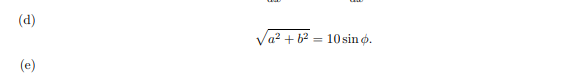
Not a linear ODE as we have n^2

How well did you know this?
1
Not at all
2
3
4
5
Perfectly
10
Q
A
How well did you know this?
1
Not at all
2
3
4
5
Perfectly
11
Q
A
How well did you know this?
1
Not at all
2
3
4
5
Perfectly