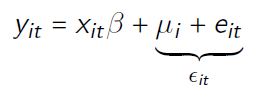
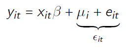
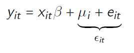
What is panel data?
panel data or longitudinal data are multi-dimensional data involving measurements over time. Panel data contain observations of multiple phenomena obtained over multiple time periods for the same firms or individuals.
How does a Linear Panel Data Model look like?
How does a stacked model for all NT observations look like?
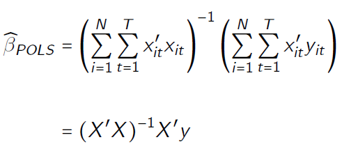
What does Pooled OLS estimator mean and how is it defined?
pooling all NT observations and applying OLS
Which condition needs to be met for the POLS to be consistent?
POLS is only consistent under the assumption of weak exogeneity of the regressors
What is the variance of the POLS error term?
NT × NT matrix:
What may the error variance matrix Ω of POLS contain and what not?
it may contain:
BUT:
What does the Breusch-Godfrey-Test test?
Test for serial correlation
How does a model with serial correlation look like?

What are the steps for applying the Breusch-Godfrey test?
What is μᵢ in a model with random effects?
individual-specific, time-constant unobserved effect
What are the assumptions for Random Effects?
see (1), (2), (3) below
with (3): the regressors are strictly exogenous, i.e. mean independence of composite error term and regressors of all (!) time periods. Assumption is violated if the individual-specific effect μᵢ is correlated with xᵢₜ!
What effect does μᵢ have on the composite error (in random effects models)?
Cov (ϵᵢₛ, ϵᵢₜ) ≠ 0
Note: RE explicitly models the serial correlation in a GLS framework
How does the variance between two individual observations look like in a model with random effects?
Show that there is serial correlation of error terms within individuals over time in a model with random effects.
Is there autocorrelation across individuals in a model with random effects?
No autocorrelation across individuals
How does the Var(ϵ) look like in a model with random effects?
What is the random effects estimator?
What are problems both with POLS and RE that Fixed Effects and First Differences can fix?
POLS and RE are inconsistent if the individual-specific effect μᵢ is correlated with xᵢₜ (example: individual-specific ability could be correlated with education, or with joining a union)
How do Fixed Effects and First Differences handle the case that the individual-specific effect μi is correlated with xit ?
Fixed Effects and First Differences allow for this correlation by using only variation in xᵢₜ within individuals over time -> μᵢ cancels out -> controls for time-constant selection bias
How can you find an expression for fixed effects?
Fixed Effects = POLS on time-demeaned data:
How can you find an expression for first differences?
First Differences = POLS on first-differenced data:
How would a fixed effects model be different if estimated on the data of the model shown below?
What do the different terms in the model mean?
index ᵢₜ: not only identify the person, but also the time of the observation
λₜ stands for control variables (one for each year, except the base year) = like a dummy for each year
μᵢ = 545 values, one for each observation