In the following diagram, the conversion of X to Y is spontaneous, so:
C
the concentration of Y will always rise until the rate of the reverse reaction (Y→X) equals the rate of the forward reaction (X→Y)
A is wrong as the forward and reverse reaction rates are the same at equilibrium. B is wrong as ΔG can still be negative when heat is absorbed, provided that there is a large positive ΔS
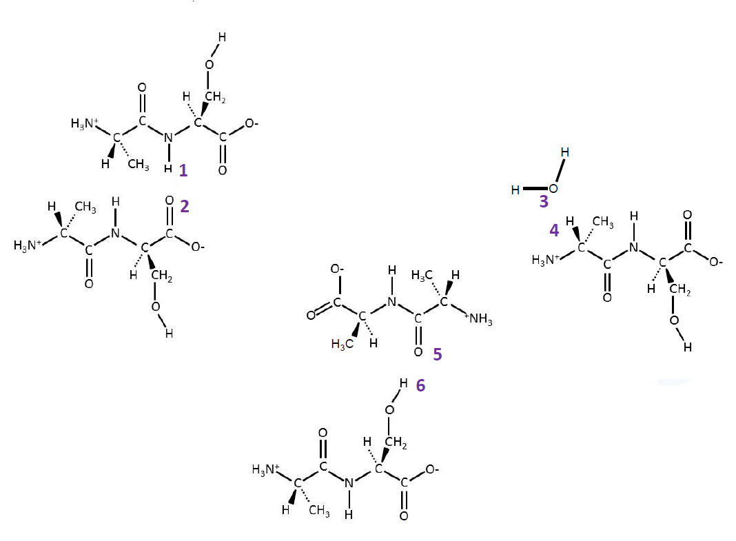
In the drawings below, which pairs of atoms are involved in hydrogen bonding?
D
E is incorrect as 3&4 can’t form hydrogen bonds. This is due to the lack of polarisation in the C-H bond.
In the drawings below, which pairs of atoms are involved in hydrogen bonding?
The electronegativity values are: H=2.1; C=2.5; N=3.1; O=3.5
D
E is incorrect. When you look at the electronegativity values, the values between H and C are too close to create a partial positive/negative charge (polarisation)
Define: salt bridge

Which statement about alpha helices is true?
D
Side chains in an α-helix are projected outwards; there is NO space in the middle for small molecules as the backbone fills most of the interior; there are alpha-helices that are the same; salt-bridges = electrostatic interaction between a positively-charged group and a negatively charged group, mediated by a hydrogen bond
Which statement about alpha helices is true?

D

Side chains in an α-helix are projected outwards; there is NO space in the middle for small molecules as the backbone fills most of the interior; there are alpha-helices that are the same; salt-bridges = electrostatic interaction between a positively-charged group and a negatively charged group, mediated by a hydrogen bond
If the pKa of an amine group is 10.5, which statement is correct?
B
A and D are wrong because amines never have a negative charge; predominant charge states are reliant on base strength and pH; C isn’t true because, at pH=10.5, there is an equal balance of both species; B is correct because, as the pH is lowered, there are more protons around which will create more of the protonated state
If the pKa of an amine group is 10.5, which statement is correct?
B
A and D are wrong because amines never have a negative charge; predominant charge states are reliant on base strength and pH; C isn’t true because, at pH=10.5, there is an equal balance of both species; B is correct because, as the pH is lowered, there are more protons around which will create more of the protonated state
Define: pKa
pKa defines the pH where both species are equal in concentration at equilibrium

Heat is given off when ATP is hydrolysed according to the equation:
ATP + H2O ↔ ADP + Pi
Which of the following is responsible for the heat release?
B
making bonds release energy, breaking bonds require energy
Heat is given off when ATP is hydrolysed according to the equation:
ATP + H2O ↔ ADP + Pi
Which of the following is responsible for the heat release?
B
breaking bonds require energy, forming bonds release energy
Which statement about amino acid sequences is true as it applies to protein function? A change in the amino acid sequence of a folded, functional protein:
E
Need to consider:
Q1. The amino acid sequence of a 16-residue peptide is:
IFAILEDCHEMISTRY
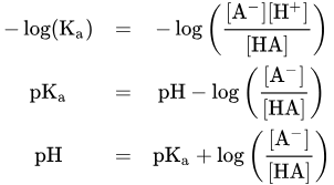
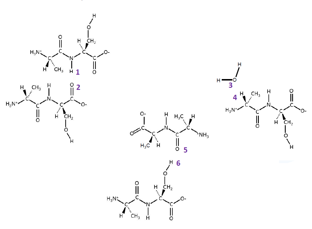
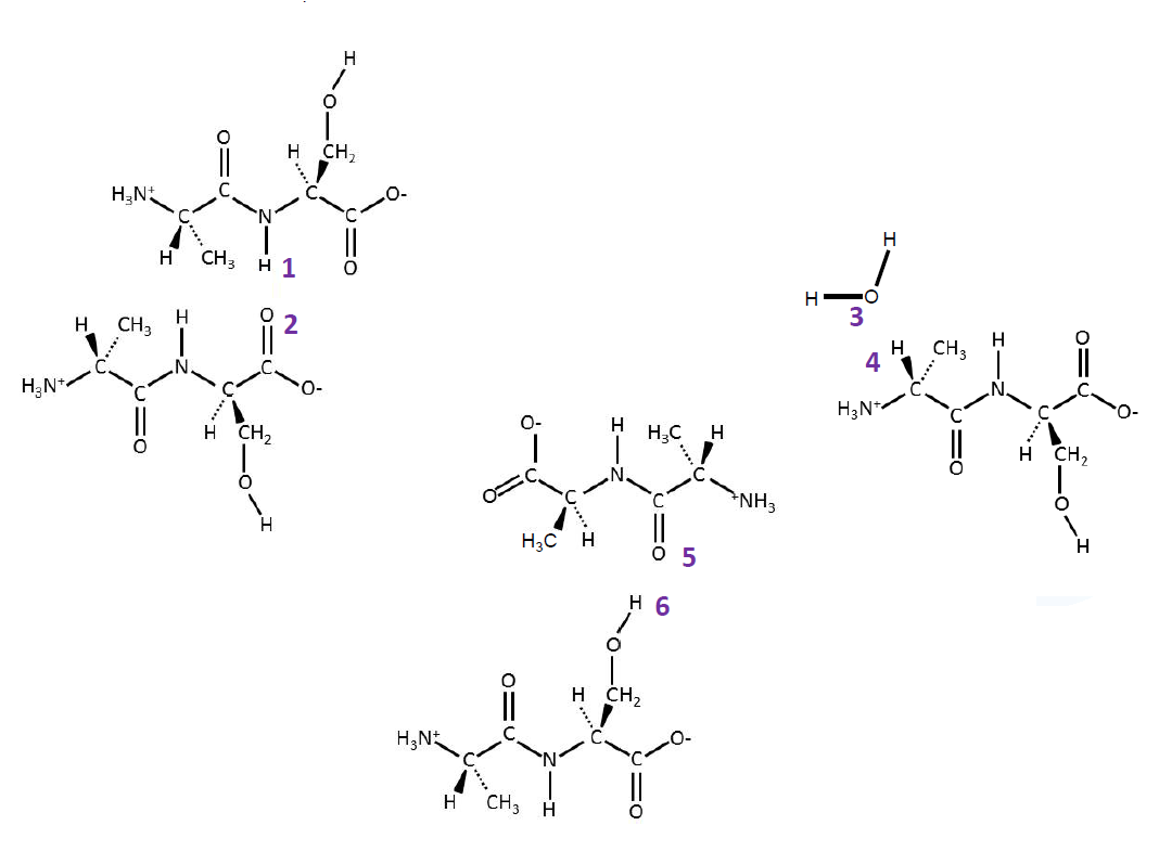
Q2. Draw a dipeptide composed of:
Show all atoms
insert drawing
Q3. Draw a simplified schematic diagram illustrating the backbone to backbone hydrogen bonding pattern in an alpha-helix
Q4. Draw a diagram illustrating the backbone to backbone hydrogen bonding pattern: between two antiparallel beta-strands