UA2 - Processus d'absorption Flashcards

(62 cards)

1
Q

Où est-ce que le principe actif doit se diriger une fois qu’il est libéré ?

A

Vers son site d’action

How well did you know this?
1
Not at all
2
3
4
5
Perfectly
2
Q

Vrai ou Faux : Plus on avance dans le tractus GI, plus le pH diminue

A

Faux, plus il augmente

How well did you know this?
1
Not at all
2
3
4
5
Perfectly
3
Q

Quel est le temps de transit de 200mL d’eau dans l’estomac ?

A

15-30min

How well did you know this?
1
Not at all
2
3
4
5
Perfectly
4
Q

Quels est le temps de transit des solides dans l’estomac ?

A

entre 30min et 10h (varie selon la taille)

How well did you know this?
1
Not at all
2
3
4
5
Perfectly
5
Q

Quel est le temps de transit à travers le jéjunum et l’iléon ?

A

2-5h

How well did you know this?
1
Not at all
2
3
4
5
Perfectly
6
Q

Quel est le temps de transit à travers le colon ?

A

3-20h (dépend de la phase de sommeil)

How well did you know this?
1
Not at all
2
3
4
5
Perfectly
7
Q

Où se fait la majorité de l’absorption des principes actif dans le tractus GI? Explique pourquoi

A

Dans le jéjunum et l’iléon, puisque la surface de l’intestin grêle est la plus grande, ce qui favorise beaucoup l’absorption

How well did you know this?
1
Not at all
2
3
4
5
Perfectly
8
Q

Vrai ou Faux : Les acides faibles sont mieux absorbés dans l’iléon et les bases faibles dans le jéjunum

A

Faux, les acides faibles sont mieux absorbés dans le jéjunum et les bases faibles dans l’iléon

How well did you know this?
1
Not at all
2
3
4
5
Perfectly
9
Q

Comment est-ce que le pH de l’estomac augmente autant lors du transit vers l’intestin grêle ?

A

L’acide de l’estomac est neutralisé par l’infusion de HCO3- par le canal pancréatique

How well did you know this?
1
Not at all
2
3
4
5
Perfectly
10
Q

Comment est-ce que le pH de l’intestin grêle augmente autant lors du transit vers le colon ?

A

Le pH dans le colon augmente à cause de la digestion microbienne de certains carbohydrates

How well did you know this?
1
Not at all
2
3
4
5
Perfectly
11
Q

Qu’est-ce qui contrôle l’état d’ionisation du principe actif et son absorption dans le tractus GI ?

A

Les forts gradients de pH

How well did you know this?
1
Not at all
2
3
4
5
Perfectly
12
Q

Quelles sont les structures de l’estomac qui permettent d’augmenter la surface d’échange ?

A

Cryptes de l’estomac (augmente la surface, mais pas beaucoup)

How well did you know this?
1
Not at all
2
3
4
5
Perfectly
13
Q

Quelles sont les structures de l’intestin grêle qui permettent d’augmenter la surface d’échange ?

A
  • Repliements (augmente la surface du tube de x3)
  • Villosités (augmente la surface du tube de x30)
  • Microvillosités (augmente la surface du tube de x600)
How well did you know this?
1
Not at all
2
3
4
5
Perfectly
14
Q

Quelles sont les structures qui se situent dans les villosités de l’intestin grêle qui captent :
- Molécules hydrophiles
- Molécules grasses/hydrophobes

A
  • Molécules hydrophiles : Capillaires sanguins
  • Molécules grasses/hydrophobes : Capillaires lymphatiques
How well did you know this?
1
Not at all
2
3
4
5
Perfectly
15
Q

Les microvillosités de l’intestin grêle sont recouvertes de 2 substances. Nomme les

A
  • Glycocalyx
  • Mucus
How well did you know this?
1
Not at all
2
3
4
5
Perfectly
16
Q

Vrai ou Faux : Un mucus recouvre les microvillosités dans l’intestin grêle. Ce mucus est fortement négativement chargé, ce qui facilite la diffusion des molécules lipophiles

A

Faux : Ce mucus est bel et bien chargé négativement, mais il limite l’absorption des molécules lipophiles

How well did you know this?
1
Not at all
2
3
4
5
Perfectly
17
Q

Qu’est-ce qui relie les entérocytes (cellules de la paroi intestinale) ?

A

Jonctions serrées

How well did you know this?
1
Not at all
2
3
4
5
Perfectly
18
Q

Les jonctions serrées sont poreuses. Quelle est la taille des pores dans :
- Le jéjunum
- L’iléon

A
  • Jéjunum : 7-9Å
  • Iléon : 3-4Å (taille d’une molécule d’eau environ)
How well did you know this?
1
Not at all
2
3
4
5
Perfectly
19
Q

Complète l’énoncé :
La surface apicale des entérocytes est riche en ______

A

protéines enzymatiques (digestives)

How well did you know this?
1
Not at all
2
3
4
5
Perfectly
20
Q

Quels sont les différents mécanismes de passage de la membrane épithéliale du tractus GI? (5)

A
  • Diffusion passive
  • Diffusion facilité
  • Transport actif
  • Filtration
  • Pinocytose
How well did you know this?
1
Not at all
2
3
4
5
Perfectly
21
Q

Quel est le mécanisme de passage de la membrane épithéliale du tractus GI ? Explique pourquoi

A

Diffusion passive, puisque ce mécanisme dépend principalement de la surface d’échange, qui est énorme dans l’intestin grêle. Aussi, ce mécanisme n’a pas de contraintes comme les autres mécanismes

How well did you know this?
1
Not at all
2
3
4
5
Perfectly
22
Q

Quelles sont les 2 voie de diffusion passive?

A
  • Diffusion transcellulaire
  • Diffusion paracellulaire
How well did you know this?
1
Not at all
2
3
4
5
Perfectly
23
Q

Quelles sont les caractéristiques de la diffusion passive dans le tractus GI? (7)

A
  • Se fait dans le sens du gradient de concentration
  • État d’équilibre de part et d’autre de la barrière
  • Pas de dépense d’énergie
  • Non saturable
  • Non spécifique
  • Pas de compétition
  • Pas d’inhibition
How well did you know this?
1
Not at all
2
3
4
5
Perfectly
24
Q

Quelles sont les caractéristiques de la diffusion facilité dans le tractus GI? (3)

A
  • Se fait dans le sens du gradient de concentration
  • Plus rapide que la diffusion passive
  • Implique un transporteur ou un canal
How well did you know this?
1
Not at all
2
3
4
5
Perfectly
25
Quelles sont les contraintes de la diffusion facilité dans le tractus GI? (4)
- Saturable - Spécifique - Peut être en compétition avec d'autres molécules - Peut être inhibé
26
Quelles sont les caractéristiques du transport actif dans le tractus GI? (3)
- Se fait contre le sens du gradient de concentration - Nécessite de l'énergie - Implique un transporteur
27
Quelles sont les contraintes du transport actif dans le tractus GI? (3)
- Saturable - Peut être en compétition avec d'autres molécules - Peut être inhibé
28
De quoi est-ce que la diffusion passive transmembranaire d'une molécule dépend ? (3)
- Taille de la molécule (< 500 Da) - Lipophilie - Ionisation (pKa de la molécule et pH du milieu)
29
Vrai ou Faux : La perméabilité de la membrane est beaucoup plus élevée pour la forme A- des molécules, plutôt que la forme AH
Faux, c'est le contraire
30
Pourquoi est-ce qu'on utiliserait cette formule ?
Pour déterminer le coefficient de partition d'une substance
31
Vrai ou Faux : Les espèces chargées sont généralement assez solubles dans la phase organique
Faux, elles sont généralement très peu soluble sous cette forme
32
Vrai ou Faux : Le coefficient de partition ne dépend pas du pH
Vrai
33
Vrai ou Faux : P(HA) dépend de la salinité du milieu, alors que P(A-) non
Faux, c'est le contraire
34
Quelle est la différence entre le coefficient de partition (P) et le coefficient de distribution (D) ?
- P : Définit le partage d'une seule espèce entre la phase organique et la phase aqueuse - D : Définit le partage de TOUTES les espèces entre la phase organique et la phase aqueuse
35
Vrai ou Faux, le coefficient de distribution dépend de la concentration des espèces
Faux
36
Pourquoi est-ce qu'on utilise cette formule ?
Pour déterminer la répartition de l'actif entre le compartiment donneur (tractus GI) et le compartiment accepteur (circulation sanguine) **pour un acide faible**
37
Pourquoi est-ce qu'on utilise cette formule ?
Pour déterminer la répartition de l'actif entre le compartiment donneur (tractus GI) et le compartiment accepteur (circulation sanguine) **pour une base faible**
38
Pour quelle valeur de C(A)/C(D) est-ce qu'on peut dire que l'actif à un transport favorisé vers le compartiment accepteur (qu'il passe du tractus GI à la circulation sanguine/absorption favorisée) ?
> 1
39
Complète l'énoncé : En diffusion passive, l'actif doit pénétrer la membrane lipidique à l'état _____
neutre
40
Si le ratio Ca/Cd ne dépend pas du coefficient de partition (P) ni du coefficient de distribution (D), pourquoi sont-ils si important pour définir la partition pH-dépendante?
Les coefficients de partition ou de distribution interviennent dans la cinétique de l'absorption, mais pas dans l'équilibre final (il définissent la vitesse d'absorption, mais pas la Qté absorbée)
41
Quelle est l'utilité de cette formule ?
Permet de mesurer la densité de flux à partir de la perméabilité membranaire (Pm) et le gradient de concentration entre le compartiment donneur et le compartiment accepteur (Cd-Ca) (permet d'estimer la vitesse d'absorption)
42
Quelle est l'utilité de cette formule ?
Permet de déterminer la fraction non-ionisé d'un acide faible
43
Quels sont les facteurs influençant l'absorption? (5)
- Dégradation chimique - Complexation chimique - Alimentation - Vidange gastrique - Débit sanguin et lymphatique
44
Qu'est-ce que le système de classification biopharmaceutique (BCS) ?
Système mis en place par la US FDA pour guider l'établissement des relations biodisponibilité/bioéquivalence
45
Le système de classification biopharmaceutique comporte 4 classes. Nommes les
- Classe I : Amphiphile - Classe II : Lipophile - Classe III : Hydrophile - Classe IV
45
Le système de classification biopharmaceutique permet d'estimer l'impact de 3 facteurs sur l'absorption par voie orale. Nomme les
- Solubilité - Dissolution - Perméabilité intestinale
46
Qu'est-ce qui limite l'action des mx dans la classe I (amphiphile) du système de classification biopharmaceutique ?
Seulement la vitesse de dissolution
47
Qu'est-ce qui limite l'action des mx dans la classe II (lipophile) du système de classification biopharmaceutique ?
Faible solubilité (limite le flux d'absorption)
48
Qu'est-ce qui limite l'action des mx dans la classe III (hydrophile) du système de classification biopharmaceutique ?
La perméabilité est limitante
49
Qu'est-ce qui limite l'action des mx dans la classe IV du système de classification biopharmaceutique ?
La solubilité et la perméabilité sont limitantes (aucune corrélation in vivo - in vitro attendue)
50
Quels sont les 4 critères qui doivent être respectés selon la loi de Lipinski pour prédire qu'un actif peut être administrer par la voie orale ?
- Molécule a moins de 5 groupes donneurs de pont H - Molécule à moins de 10 groupes accepteur de pont H - Masse molaire inférieure à 500g/mol - LogP est inférieur à 5
51
Vrai ou Faux : On peut appliquer la règle de lipinski à toutes les molécules
Faux, c'est seulement pour les molécules qui sont des substrats pour des transporteurs biologiques (transport passif)
52
Quelles sont les classes de molécules qui sont des substrats pour les transporteurs biologiques ? (4)
- Antibiotiques - Fongicides-antiseptiques - Vitamines - Glycosides cardiaques
53
Est-ce que ces molécules peuvent être prises par voie orale ?
54
Qu'est-ce que le modèle Amidon ?
Modèle le plus quantitatif qui permet de prédire la fraction absorbée
55
La fraction absorbée peut être prédite à l'aide de 2 nombres adimensionnels. Nomme les
- An : Nombre d'absorption - Do : Nombre de dose
56
Qu'est-ce que cette formule nous permet d'obtenir ?
Nombre de fois que la dose dépasse la solubilité
57
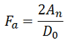
Dans quel cas est-ce qu'on utilise cette formule ?
58
Dans quel cas est-ce qu'on utilise cette formule ?
59
Dans quel cas est-ce qu'on utilise cette formule ?
60
Quelles sont les limitations du Modèle d'Amidon ?
- Ne prend pas en compte l'état d'ionisation de l'actif - Ne tient pas en compte la vitesse de dissolution de l'actif
61
Qu'est-ce que cette formule nous permet d'obtenir ?
Le nombre de dissolution