What is optimization?

Write out the general equation for the gradient of a function f.

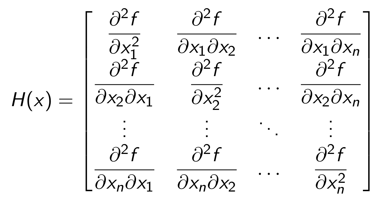
Write the general equation for the Hessian of a function f

What are the general steps to find the minimum (or maximum) of a function of one variable?

What does it mean for a problem to be multimodal?
The problem has multiple minima.
What are the general steps to find the minimum (or maximum) of a function with multiple variables?

When is x* a global minimizer?

When is x* a local minimizer?

How can you put the problem (function) in standard form if you wish to maximize a function?

When is x* a (weak) local solution?

When is x* a strong local solution?

For any two points x and y, a convex function satisfies…[what is the inequality?]
(Hint: this is Dr Kennedy’s notation)

For any two points x1 and x2, a convex function satisfies…[what is the inequality?]
(Hint: this is Dr German’s notation)

There are two equivalent conditions to identify convex functions. What are they?

For a convex function, _____ optimality implies ______ optimality.

_____ _____ optimality implies _____ _____ optimality.







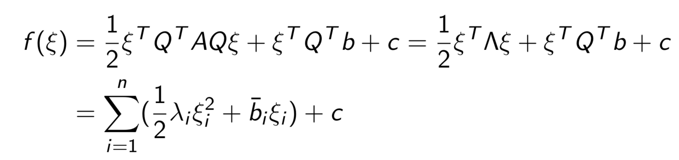
In Dr. Kennedy’s class, we put the function f(x) into a standard form. What is this form?

Let f(x) be a convex function. If x* is a local solution to the unconstrained minization problem, then x* is a _____ ______ to the unconstrained minimization problem.

What is an Optimization Algorithm?




