unit 2 Flashcards

(64 cards)

1
Q

what’s the difference between nucleotides and nucleosides?

A
  • nucleotides are composed of 3 parts: sugar/phosphate/heterocyclic base
  • nucleosides are composed of 2 parts: sugar + heterocyclic base
How well did you know this?
1
Not at all
2
3
4
5
Perfectly
2
Q

what is the function of nucleic acids?

A

store genetic information

How well did you know this?
1
Not at all
2
3
4
5
Perfectly
3
Q

what’s the difference between DNA & RNA

A
How well did you know this?
1
Not at all
2
3
4
5
Perfectly
4
Q

what types of bases are there

A

monocyclic pyrimidines: cytosine/thymidine/uracil

bind at n1

aromatic

bicyclic purines: adenine/guanine

bind at n9

aromatic

How well did you know this?
1
Not at all
2
3
4
5
Perfectly
5
Q

organize from polymer to smallest monomer

1- nucleotides

2-nucleoside

3-nucleic acids

A

nucleic acids > nucleotides > nucleosides

How well did you know this?
1
Not at all
2
3
4
5
Perfectly
6
Q

what is the function of phosphate in nucleotides?

A

it is able to form stable bonds between molecules and builds new active molecules upon increasing phosphate bonds

How well did you know this?
1
Not at all
2
3
4
5
Perfectly
7
Q

what are the properties of phosphate?

A
  • good leaving groups
  • stable anions
How well did you know this?
1
Not at all
2
3
4
5
Perfectly
8
Q

why is it that ATP has high reactivity?

A

because phosphates are stable anions and good leaving groups, thus they are able to be attacked fromhard or soft nucleophiles from the ch2 group

How well did you know this?
1
Not at all
2
3
4
5
Perfectly
9
Q

why is DNA so named?

A

because the 2’ position at the ribose ring is vacant, lacking a hydroxyl group, therefore it is known as 2-deoxyribonucleic acid

How well did you know this?
1
Not at all
2
3
4
5
Perfectly
10
Q

why is it that purine must bind to pyrimidine in nucleic acids?

A

because only the combination of larger purines and smaller pyrimidines bridges the gap between the nucleic acid coils, allowing each nucleotide to recognize its pair

How well did you know this?
1
Not at all
2
3
4
5
Perfectly
11
Q

how are purines connected to pyrimidines?

A

via 2 or 3 hydrogen bonds of two kinds (amine-carbonyl group) or (amine-imine)

How well did you know this?
1
Not at all
2
3
4
5
Perfectly
12
Q

why do cells need to extract energy from sources and store it?

A
  • cells needs to move in the environment;
  • to build molecules that require, DNA, proteins and enzymes for cells living,
  • reproduction and growth and also energy is involved in transport of ions/molecules in/out of cells, for example balance Na/K to keep isotonic (inside=outside) pressure, to take sugars/aminoacids/vitamins (nutrients) inside the cell
How well did you know this?
1
Not at all
2
3
4
5
Perfectly
13
Q

what does ATP consist of?

A

triphosphate, deoxy-ribose (sugar, OH) and adenine (H).

How well did you know this?
1
Not at all
2
3
4
5
Perfectly
14
Q

deoxy-ribose (sugar, OH) and adenine (H) are one of 4 basis DNA called “adenosine”. other bases are ___, _______ &_____

A

guanosine

cytidine

uridine

How well did you know this?
1
Not at all
2
3
4
5
Perfectly
15
Q

what are the energy reach compounds

A
  • guanosine triphosphate (GTP)
  • cytidine triphosphate (CTP)
  • uridine triphosphate (UTP)
How well did you know this?
1
Not at all
2
3
4
5
Perfectly
16
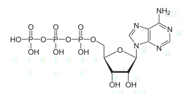
Q

what molecule is this

A

ATP

How well did you know this?
1
Not at all
2
3
4
5
Perfectly
17
Q

where is ATP located in the cell?

A

cytoplasm

How well did you know this?
1
Not at all
2
3
4
5
Perfectly
18
Q

in ATP, 5 carbons are bound to oxygen of phosphate to form phosphate ester bond and other bonds are _________

A

phosphoanhydride bonds

How well did you know this?
1
Not at all
2
3
4
5
Perfectly
19
Q

describe bonding in ATP

A

1 phosphate ester bond formed by linkage between the alpha-phosphoryl group to the 5’-oxygen of ribose and Phosphoanhydride bonds formed by alpha, beta and beta, gamma linkages between phosphoryl groups. Usually present as complexes magnesium cations.

How well did you know this?
1
Not at all
2
3
4
5
Perfectly
20
Q

metabolism is divided into two sets of reactions known as:

A

anabolic (producing molecules)

catabolic (producing energy)

How well did you know this?
1
Not at all
2
3
4
5
Perfectly
21
Q

describe the sequence of catabolic and anabolic processes within the cell

A
  1. simple sugars go through glycolysis where sugars are broken down and pyruvate is produced and small amount of ATP.
  2. Pyruvate is then converted in Acetyl Co enzyme A that enters citric acid cycle (Krebes cycle), where CO2 and electrons are produced and the electrones are transported to the oxidative phosphorylation stage, ATP is produced during oxidative phosphorylation.
  3. Fats are broken down into glycerine that enters the catabolic routes at glycolysis stage, whereas the fatty acids are broken down and they enter catabolism as acetyl Co enzyme A.
  4. Proteins are broken down in the amino acids and depending on amino acid they enter catabolism in different places.
How well did you know this?
1
Not at all
2
3
4
5
Perfectly
22
Q

true or false

anaerobic reactions produce a small amount of ATP whereas aerobic reactions produce w larger amount

A

true

How well did you know this?
1
Not at all
2
3
4
5
Perfectly
23
Q

For most organisms the main supply of energy is by metabolism of glucose and other sugars. what happens when sugar/glucose is depleted?

A

Metabolism of fats and proteins becomes more important for energy production when the supply of glucose and other sugars is limited.

How well did you know this?
1
Not at all
2
3
4
5
Perfectly
24
Q

what is the initial stage of metabolism known as?

A

glycolysis

  • it takes place in the cytoplasm
  • it does not require oxygen
  • it is not efficient
  • the reaction also produces two molecules of NADH (Nicotinamide Adenine Dinucleotide)
How well did you know this?
1
Not at all
2
3
4
5
Perfectly
25
what are the types of reactions in glycolysis
**_Type 1_:** Phosphoryl transfer **_Type 2_:** Phosphoryl shift **_Type 3_:** Isomerisation **_Type 4_:** Dehydration **_Type 5_:** Aldol cleavage **_Type 6_:** Oxidation
26
what are the two parts of glycolysis?
* the first reactions with 6 carbon units which requires energy **(hexose stage)** * the reactions on the 3 carbon units which provides energy **(triose stage)**
27
The end product of glycolysis is \_\_\_\_\_\_\_
**Pyruvate**.
28
**Pyruvate** can have several different fates, what are they?
- conversion to acetyl coenzyme A - conversion to lactate - conversion to ethanol.
29
briefly describe how ATP is generated in glycolysis
During glycolysis, glucose ultimately breaks down into pyruvate and energy; a total of 2 ATP is derived in the process (**Glucose + 2 NAD+ + 2 ADP + 2 Pi --\> 2 Pyruvate + 2 NADH + 2 H+ + 2 ATP + 2 H2O**). The hydroxyl groups allow for phosphorylation. The specific form of glucose used in glycolysis is glucose 6-phosphate
30
in which reactions is acetyl coA used?
krebs cycle electron transport chain
31
where does acetyl coA form?
in the mitochodria
32
what is pyruvate converted to when fermented?
ethanol
33
where does the citric acid cycle occur
mitochondria
34
true or false citric acid cycle is aerobic
true
35
•During the citric acid cycle the acetyl CoA is fully oxidised to \_\_\_\_\_\_\_
carbon dioxide and water.
36
The krebs cycle can be divided into a number of parts
- 6-Carbon atoms - 5-Carbon atoms - 4-Carbon atoms
37
explain what happens in krebs cycle
it's easier when take it bit by bit, try mnemonics maybe? there's plenty on the internet I really liked this source [(453) KREBS CYCLE MADE SIMPLE - TCA Cycle Carbohydrate Metabolism Made Easy - YouTube](https://www.youtube.com/watch?v=ubzw64PQPqM)
38
what are the products of krebs cycle?
- 3 molecules of NADH - 1 molecule of FADH2 (Flavin Adenine Dinucleotide) - 1 molecule of GTP
39
what is the product of krebs cycle as a biosynthetic intermediate
* carbs **amino acids** **urea** **pyrimidine nucleotides**
40
what is oxidative phosphorylation
process by which NAD reacts with FADH2 to produce ATP
41
each molecule of NAD produces (a) _____ ATP each molecule of FADH2 produces (b) ________ ATP during oxidative phosphorylation
a- 3 b- 2
42
each molecule of glucose gives rise to 36 ATP molecules in which 32 of them are produced during \_\_\_\_\_\_\_\_\_
oxidative phosphorylation
43
where is ADP located within the mitochondria?
in the innermembrane
44
what is the site of oxidative phosphorylation?
inner membrane of the mitochondria
45
where is the site of citric acid cycle and fatty acid oxidation
matrix of the mitochondria
46
protons are pumped out of the membrane creating gradient between inside and outside and this gradient is used by __________ enzyme to perform the synthesis of ATP from ADP.
ATP synthetize
47
Electrons are transferred from NADH (or FADH2) to _________ by the electron transport chain.
molecular oxygen
48
what are the four protein complexes of the electron transport chain
* NADH–ubiquinone oxidoreductase (Complex I) * Succinate-ubiquinone oxidoreductase (Complex II) * Ubiquinol- cytochrome *c* oxidoreductase (complex III) * Cytochrome *c* oxidase (Complex IV)
49
what are the two electron carriers of the krebs cycle?
- ubiquinone - cytochrome *c*
50
what are the properties of glycosides? (s-/n-acetals/o-)
increase solubility and permeability through membranes which helps in the expulsion of particles from the cell
51
bases bind to sugars through a ________ bond at c1 and this bond is often beta
n-glycoside
52
what's the difference between alpha and beta glycosidic bonds?
OR bond lies down in alpha OR bond lies up in beta
53
what type of bond is phosphate bound at 5' and 3' positions?
phosphodiester
54
define DNA
long unbranched chain of oligonucleotides which are linked via a phosphate group that joins the sugar with the base
55
what type of bond binds nucleotides together
phosphodiester bond (ester linkage), it links one nucleotide from 5' to 3'
56
why is the DNA of some organisms circular?
because the 5' and 3' ends bind to each other, thus forming circular DNA
57
what are the DNA base pairs
A-T C-G
58
what are the properties of bases in DNA
they are able to form hydrogen bonds between each other which makes them able to translate, transcribe, and have double helix character
59
what is the function of minor and major grooves in DNA
These grooves **allow proteins to bind to and recognize DNA sequences from the outside of the helix**. The grooves expose the edges of each base pair located inside the helix, which allows proteins to chemically recognize specific DNA sequences.
60
how do major/minor grooves form in DNA
Since the glycoside bonds between the sugars and bases of a particular base pair are not directly opposite to each other, grooves along the outside of the double helix array are unequal in with giving rise to what is known as the minor groove and major groove.
61
DNA replication proceeds in three enzymatically mediated steps, what are they?
1. initiation 2. elongation 3. termination
62
where does the initiation process occur?
at the origins, which contain replicons that have specific DNA sequences where DNA replication starts
63
what is an initiator
specific DNA binding protein whose task is to recruit additional factors to open the double stranded chromosomal DNA and start synthesis
64
what do DNA polymerase do
responsible for copying DNA and catalyse nucleotide polymerization exclusively in a 5' to 3' direction