Define
Hydrocarbons
Chains of carbons and hydrogens
Define
Isomer
Any molecules with the same chemical formula but different arrangement of atoms
Define
Structural isomer
An isomer where the bonds are placed differently (ex: butane and isobutane)
Define
Geometric isomer
An isomer where the arrangement of atoms around double bonds differ
cis
Having functional groups and/or carbons that reside on the same side of a double bond
trans
Having functional groups and/or carbons that reside on opposite sides of a double bond
Define
Enantiomers
Mirror image isomers
Draw
Hydroxyl

Draw
Methyl

Draw
Carbonyl

Draw
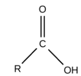
Carboxyl

Draw
Amino

Draw
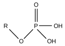
Phosphate

Draw
Sulfhydryl

List
Four types of macromolecules
Carbohydrates
Proteins
Lipids
Nucleic acids
Single units of macromolecules are called
monomers
Define
Polymer
Many connected monomers
What reactions make and break polymers?
Dehydration synthesis makes polymers
Hydrolysis breaks polymers
Energy in metabolic reactions
Making new bonds (forming polymers) requires energy
Breaking bonds (breaking down polymers) releases energy
Identify the parts of a chemical reaction
Left: Reactants - what you start with in a chemical reaction
Right: Products - what you end with in a chemical reaction
Apply the Law of Conservation of Matter to chemical reactions
Whatever atoms are present at the start of a reaction must also be present at the end
Define
Metabolism
All chemical reactions that happen in an organism
Catabolic Reactions
Metabolism where molecules are broken down and energy is released
Anabolism
Metabolism where molecules are built, requiring an input of energy