What are the “building blocks” of nucleic acids?
Nucleotides

What are the 2 main types of nucleic acids?
What are the 4 functions of Nucleic Acids?
What are nucleotides composed of?
Deoxyribose (pentose sugar) + phosphate group = BACKBONE And nitrogenous bases (the “rungs” of the ladder)
What are the 4 nitrogenous bases? How do they pair?
Adenine + Thymine Cytosine + Guanine
Which 2 nitrogenous bases are purines?
Adenine and Guanine
Which 2 nitrogenous bases are pyrimidines?
Thymine + Cytosine
The structure of DNA was discovered by _____ & _____ using _____.
Watson & Crick, x-rays.
Two strands of nucleotides are joined together at the bases by ______
Hydrogen Bonds
Whats are the 4 main differences between DNA and RNA?
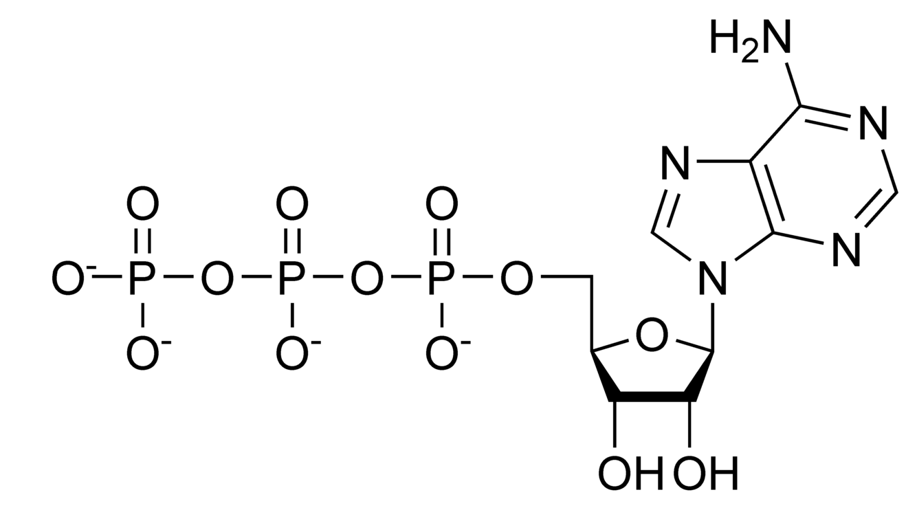
What is ATP?
Adenosine Triphosphate, its the most common energy carrier molecule in cells.

What is ATP made up of?
Adenine, ribose, and 3 phosphate groups
Why does ATP give off so much energy?
There are high energy bonds between the phosphate groups that take a lot of energy to be created so when they’re broken they also give off a lot of energy.