Unit 2 Oxidising agents Flashcards

(12 cards)

1
Q

What is colour change with acidified dichromate?

A

Orange to green

How well did you know this?
1
Not at all
2
3
4
5
Perfectly
2
Q

What is colour change with hot copper oxide?

A

Black to red/brown

How well did you know this?
1
Not at all
2
3
4
5
Perfectly
3
Q

What is colour change with Fehlings solution?

A

Blue to brick red

How well did you know this?
1
Not at all
2
3
4
5
Perfectly
4
Q

What is colour change with Benedict’s solution?

A

Blue to brick red

How well did you know this?
1
Not at all
2
3
4
5
Perfectly
5
Q

What is colour change with Tollen’s reagent?

A

Silver mirror forms

How well did you know this?
1
Not at all
2
3
4
5
Perfectly
6
Q

What is colour change with acidified permanganate?

A

Purple to colouless

How well did you know this?
1
Not at all
2
3
4
5
Perfectly
7
Q

Why do permaganate and dichromate solutions have to be acidified?

A

To provide a source of H+ (aq) ions

How well did you know this?
1
Not at all
2
3
4
5
Perfectly
8
Q

Why is acidified permanaganate a useful indicator?

A

It is self-indicating and gives a clear end point due to clear colour change

How well did you know this?
1
Not at all
2
3
4
5
Perfectly
9
Q

Show (by using ion-electron eq) that Fehlings and Benedicts are behaving as Oxidising Agents

A

Gain of electrons is reduction.

Oxidising agents are reduced

How well did you know this?
1
Not at all
2
3
4
5
Perfectly
10
Q

Show (by using ion-electron eq) that Acidified Dichromate is behaving as an Oxidising Agent

A

Gain of electrons is reduction.

Oxidising agents are reduced

How well did you know this?
1
Not at all
2
3
4
5
Perfectly
11
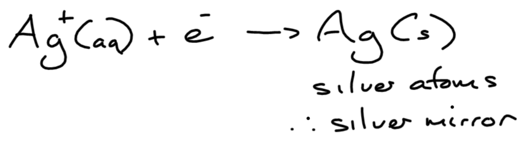
Q

Show (by using ion-electron eq) that Tollen’s Reagent is behaving as an Oxidising Agent

A

Gain of electrons is reduction.

Oxidising agents are reduced

How well did you know this?
1
Not at all
2
3
4
5
Perfectly
12
Q

Show (by using ion-electron eq) that hot Copper Oxide is behaving as an Oxidising Agent

A

Gain of electrons is reduction.

Oxidising agents are reduced

How well did you know this?
1
Not at all
2
3
4
5
Perfectly