Unit 2-Proteins Flashcards

(17 cards)

1
Q

What are the building blocks of proteins?

A

Amino acids

How well did you know this?
1
Not at all
2
3
4
5
Perfectly
2
Q

Which functional group is written as NH2?

A

Amine (amino) group

How well did you know this?
1
Not at all
2
3
4
5
Perfectly
3
Q

Which functional group is written as COOH?

A

Carboxyl group

How well did you know this?
1
Not at all
2
3
4
5
Perfectly
4
Q

What type of reaction links amino acids together?

A

Condensation

How well did you know this?
1
Not at all
2
3
4
5
Perfectly
5
Q

What small molecule is eliminated during protein formation?

A

Water

How well did you know this?
1
Not at all
2
3
4
5
Perfectly
6
Q

What is the name of the link formed between amino acids?

A

Amide (peptide) link

How well did you know this?
1
Not at all
2
3
4
5
Perfectly
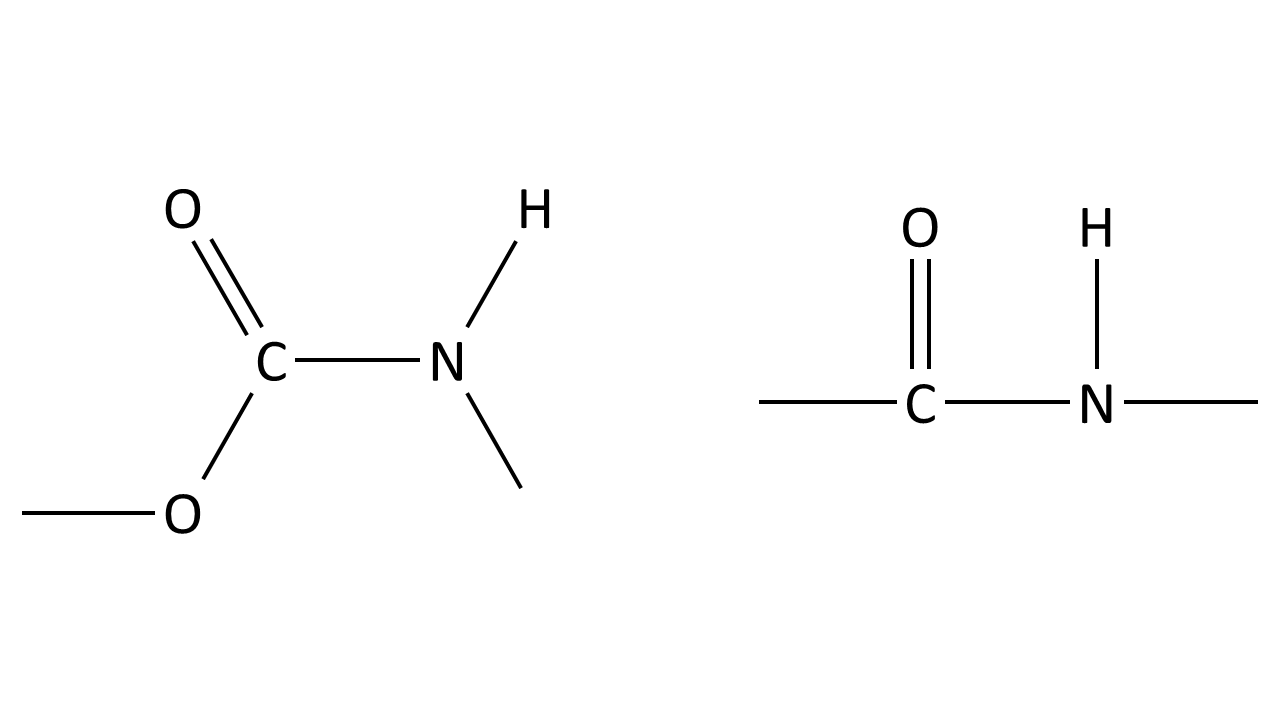
7
Q

What is the structural formula of a peptide link?

A

CONH

How well did you know this?
1
Not at all
2
3
4
5
Perfectly
8
Q

What determines the structure and function of a protein?

A

The sequence of amino acids

How well did you know this?
1
Not at all
2
3
4
5
Perfectly
9
Q

What are amino acids the body cannot make called?

A

Essential amino acids

How well did you know this?
1
Not at all
2
3
4
5
Perfectly
10
Q

What process breaks proteins into amino acids during digestion?

A

Hydrolysis

How well did you know this?
1
Not at all
2
3
4
5
Perfectly
11
Q

What happens to proteins when they are hydrolysed?

A

They break down into amino acids

How well did you know this?
1
Not at all
2
3
4
5
Perfectly
12
Q

What holds protein chains in spirals or sheets?

A

Intermolecular forces between side chains

How well did you know this?
1
Not at all
2
3
4
5
Perfectly
13
Q

What is the term for proteins changing shape when heated?

A

Denaturation

How well did you know this?
1
Not at all
2
3
4
5
Perfectly
14
Q

What effect does denaturation have on food texture?

A

It changes the structure and texture

How well did you know this?
1
Not at all
2
3
4
5
Perfectly
15
Q

What type of biological molecules are enzymes?

A

Proteins

How well did you know this?
1
Not at all
2
3
4
5
Perfectly
16
Q

Why do protein chains unwind when heated?

A

Heat breaks hydrogen bonds between side chains.

17
Q

How can enzymes be detected in foods like liver, potato or celery?

A

They catalyse the decomposition of hydrogen peroxide, releasing oxygen gas.