Show the order the nodes of the attached tree will be visited in a breadth first search.


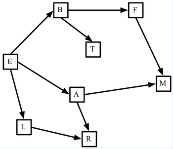
Select the lists of nodes that represent possible orderings of vertices as visited in a depth first search of the attached directed acyclic graph.
[E, L, R, A, M, B, T, F]
See Exploratory Activity 5.6 for a visualisation of how a depth first search of a graph works:
https://learn2.open.ac.uk/mod/oucontent/view.php?id=734611§ion=1.1
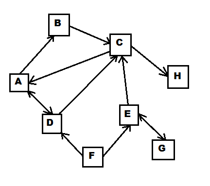
Create an adjacency list for the attached graph.

A: [B, D]
B: [C]
C: [A, H]
D: [A, C]
E: [C, G]
F: [D, E]
G: [E]
H: []
Complete the following statement, using the labels below:
The _____ problem can be represented as a _____ graph with the _____ corresponding to the _____ between vertices. The version of this problem discussed in the module texts aims to find a _____ with the minimum distance from a given _____ (the source) to each other vertex in the graph. There is a classic way to solve this known as _____ algorithm.
The algorithm uses a _____ data structure. To start the algorithm, we set the source distance to _____ and the other vertex distances to _____ and then add all the vertices to the structure, sorted by _____. We then follow a series of other steps to obtain the required solution.
The shortest path problem can be represented as a weighted graph with the weights corresponding to the distances between vertices. The version of this problem discussed in the module texts aims to find a path with the minimum distance from a given start vertex (the source) to each other vertex in the graph. There is a classic way to solve this known as Dijkstra’s algorithm.
The algorithm uses a Priority Queue data structure. To start the algorithm, we set the source distance to 0 and the other vertex distances to infinity and then add all the vertices to the structure, sorted by current distance. We then follow a series of other steps to obtain the required solution.
How does dynammic programming work?
Dynamic programming works by splitting a problem up into subproblems and then solving these problems in topologically sorted order, which can be represented by a DAG.
This means that as we come to each new subproblem all the other subproblems it relies on have already been solved.
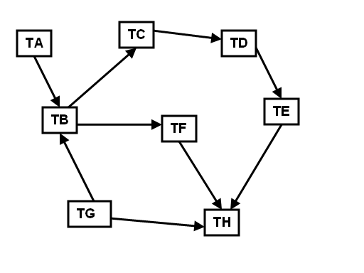
Which of the sequences below represent a topological sort of the attached tasks:
Find a topological sort for the attached directed acyclic graph (DAG).
Any of these are valid:
What is the goal of Dijkstra’s algorithm?
The goal of Dijkstra’s algorithm is to find a path with the minimum distance from a given start vertex (the source) to each other vertex in the graph.
Complete the table to show the distances after the first and second iterations of the while loop of Dijkstra’s algorithm, starting from the node U:
See Exploratory Activity 5.8 for a visualisation of how Dijkstra’s algorithm works:
https://learn2.open.ac.uk/mod/oucontent/view.php?id=734611§ion=1.1
Show the order the nodes of the attached tree will be visited in a depth first search.


Show the order the nodes of the attached graph will be visited in a breadth first search (BFS).
See Exploratory Activity 5.5 for a visualisation of how a depth first search of a graph works:
https://learn2.open.ac.uk/mod/oucontent/view.php?id=734611§ion=1.1