What are the 5 fundamental concepts of portfolio management?
What are the 4 main benefits of portfolio management for a risk portfolio?
What are the 4 key types of responses to risks?
Accept, Manage, Transfer, Avoid
What are the 2 categories of Alternative Risk Transfer products?
alternative vehicle in capital market instruments
unconventional products covering conventional risks
What are 3 advantages and disadvantages of Alternative Risk Transfer products?
Advantages 1. improves the organisational focus 2. provides customisation and timing 3. earnings stability Disadvantages 1. high initial costs 2. complex - time and cost to develop 3. staff need to be educated to understand and assess the seller
what are the 3 points to market risk management?
Diversification
Investment strategy
Hedging
What is involved in market risk management best practice?
Seek competitive advantage - pricing and better intelligence
sophisticated modelling tools
Market risk function - is a corporate control and profit centre, maximising profits within risk limits
What are 2 advantages and 3 disadvantages of using derivatives?
ADVANTAGES
DISADVANTAGES
Define Basis Risk
The difference in price between the asset and the price of the future at a particular point in time
Define the currency cashflow management techniques?
Netting - pay outflows with same currency as inflows (i.e. don’t exchange currencies)
Leading and Lagging - exploit exp movement in exchange rates, paying when its favourable and holding off when it is not
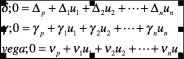
What is the hedging formula for delta, gamma and vega hedging?

What is spearman’s rho sample formula?

What is the formula for Kendall’s tau sample?
