Unit Circle Flashcards

(27 cards)

1
Q

What is the unit circle?

A

A circle with a radius of 1.

How well did you know this?
1
Not at all
2
3
4
5
Perfectly
2
Q

What is 90° in radian?

A
How well did you know this?
1
Not at all
2
3
4
5
Perfectly
3
Q

How do you convert degrees to radian?

A
How well did you know this?
1
Not at all
2
3
4
5
Perfectly
4
Q

How do you convert radian to degrees?

A
How well did you know this?
1
Not at all
2
3
4
5
Perfectly
5
Q

What is 90° in radian?

A
How well did you know this?
1
Not at all
2
3
4
5
Perfectly
6
Q

What is 30° in radian?

A
How well did you know this?
1
Not at all
2
3
4
5
Perfectly
7
Q

What is 60° in radian?

A
How well did you know this?
1
Not at all
2
3
4
5
Perfectly
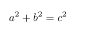
8
Q

What is the Pythagorean Theorem?

A
How well did you know this?
1
Not at all
2
3
4
5
Perfectly
9
Q

What is the formula for sin(θ) of a right triangle?

A
How well did you know this?
1
Not at all
2
3
4
5
Perfectly
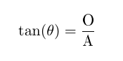
10
Q

What is the formula for tan(θ) of a right triangle?

A
How well did you know this?
1
Not at all
2
3
4
5
Perfectly
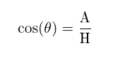
11
Q

What is the formula for cos(θ) of a right triangle?

A
How well did you know this?
1
Not at all
2
3
4
5
Perfectly
12
Q

How do you find the x-coordinate of a point on the unit circle?

A

cos(θ)

How well did you know this?
1
Not at all
2
3
4
5
Perfectly
13
Q

How do you find the y-coordinate of a point on the unit circle?

A

sin(θ)

How well did you know this?
1
Not at all
2
3
4
5
Perfectly
14
Q

How do we find the coordinates of points along the circumference of the unit circle?

A

Find the angle between the point and the x-axis through the origin, θ. Then the point is (cosθ, sinθ).

How well did you know this?
1
Not at all
2
3
4
5
Perfectly
15
Q
A
How well did you know this?
1
Not at all
2
3
4
5
Perfectly
19
Q

In which quadrants do two different angles have the same sine?

A

Two angles have the same sine when they have the same y-coordinate. So, this is the same for quadrants 1 & 2 or for quadrants 3 & 4.

20
Q

In which quadrants do two different angles have the same cosine?

A

Two angles have the same cosine when they have the same x-coordinate. So, this is the same for quadrants 1 & 4 or for quadrants 2 & 3.

21
Q

When do two different angles have the same tangent?

A

When they are located 180° (or π) apart.

22
Q

How do you find the tangent of an angle that is *not* part of a right triangle?

23
Q

For what type of triangles can you use the Pythagorean Theorem?

A

Right triangles.

24
Q

What is a true bearing?

A

The true bearing of B from A is the clockwise measure of the angle between [AB] and the ‘north’ line through A.

For example:

25
How can you use sine, cosine, or tangent to find an angle inside of a right triangle?
26
What are the side lengths of a 45-45-90 triangle with hypotenuse length 1?
27
What are the side lengths of a 30-60-90 triangle with hypotenuse length 1?