At what speeds would you have to take relativistic effects into account?
For small velocities i.e. less than 0.1 times the speed of light relativistic effects are negligibly small.
What is the evidence for dark matter?
The mass of a galaxy can be estimated by the orbital speed of the stars within it. From our estimations there is not enough mass to keep the galaxy together. Therefore there must be mass we cannot detect. This is dark matter.
In the Gravitational Force equation what is the distance, r?
The distance, r, between the two objects is the distance between their centres of mass.
What is the definition for The Big Bang?
The Universe was initially in a hot and very dense state and then expanded rapidly.
OR
All the matter in the universe was in an unimaginably small volume, almost a point, and rapidly expanded.
Explain what a stationary observer would notice if a car with a siren on it was moving away from them.
Each wave front is emitted further away from the observer than the previous wave. So each wave front reaches the observer in a longer time than the previous wave. This causes the number of wave fronts arriving at the observer per second to decrease. So the frequency the observer experiences is decreased.
What is Olber’s Paradox?
Olber said that if the universe was infinitely old and static that we should see stars in all directions. But the universe is not infinitely old it had a beginning (so light from distant stars may not have had time to reach us yet) and the universe is expanding (galaxies are moving away from us so the light may be redshifted into the infra-red part of the spectrum so we will not see the light).
The colour of a star tells us about it’s surface temperature.This colour can be split into all the radiations being emitted producing a blackbody graph. What do the blackbody radiation graphs of stars tell us?
The temperature of stellar objects is related to the distribution of emitted radiation over a wide range of wavelengths. The hotter the object the shorter the peak wavelength emitted. A hotter star will emit more radiation per unit surface area per unit time than a cooler one. (If they are similar in mass, surface area etc)
What is the evidence for dark energy?
Distant objects are accelerating away from us. There must be something to overcome the gravitational forces acting. The extra energy that these objects gain is called dark energy.
What evidence is there that Cosmic Microwave Background Radiation supports Big Bang Theory?
• It is the dominant source of radiation in the Universe • It is very uniform throughout the Universe. • It shows the characteristics of blackbody radiation. • It has a temperature of approx. 3K (2·74K) due to cooling on expansion of the universe. • CMBR is thought to be the “afterglow” of the Big Bang, cooled to a faint signal in the microwave region.
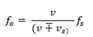
For Doppler Effect calculations you use the following formula.
Describe when you should use the + and when you should use the - in the equation.

Sound source moving towards observer USE - as less time for waves to reach observer. Sound source moving away from observer USE + as more time for waves to reach observer.
Explain what a stationary observer would notice if a car with a siren on it was moving towards them.
Each wave front is emitted closer to the observer than the previous wave. So each wave front reaches the observer in less time than the previous wave. This causes the number of wave fronts arriving at the observer per second to increase. So the frequency the observer experiences is increased.
What does the Doppler effect apply to?
All waves
What is the definition for time dilation?
Time dilation is the difference in a time interval as measured by an object moving relative to a stationary observer.
Explain how Hubble’s Law can estimate the age of universe.
Hubble’s observations show galaxies move away from each other and Earth in all directions. So the universe must be expanding. So if you could go back in time the galaxies etc. would be closer together, so if you go back to the point when all the galaxies were at one point, this would be the beginning of the universe. t=1/H0
What is Hubbles Law?
Hubble’s Law is the relationship between the recession velocity of a galaxy as it moves away from us and its distance.
What is the definition for redshift?
Redshift of light - Light from stars or galaxies moving away from us is shifted to longer wavelengths and so the redder wavelengths of the spectrum.
When will length contraction become apparent?
The stationary observer and a person or object moving at relativistic speeds experience length in the same way. Only when they compare the lengths they have experienced do they notice a difference. The person who is stationary will have experienced a shorter length in comparison.
What happens to the source frequency during the Doppler Effect?
Nothing - it remains constant
What evidence is there to support Big Bang Theory?
When will time dilation become apparent?
The stationary observer and a person or object moving at relativistic speeds experience time passing in the same way. Only when they compare the times they have experienced do they notice a difference. The person who is stationary will have experienced a longer time in comparison.
What is gravitational field strength?
The force due to gravity per unit mass (kg)
Give one application for Hubbles Law
Calculating the age of the universe
What assumption is made when calculating the Gravitational force?
The objects are spherical
What can be said about the Gravitational force?
It is always attractive.