urea cycle Flashcards

(14 cards)

1
Q

what is the first step of the urea cycle? where is it happening?

substrate, products? Importance?

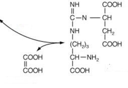
A

mitochondial reaction

substrates: ammonia and co2 (or bicarbonate)

2 ATP

e: carbomoyl phosphate synthetase 1
product: carbomoyl phosphate

How well did you know this?
1
Not at all
2
3
4
5
Perfectly
2
Q

what is this? where does it go next?

A

carbamoyl phosphate

combines with ornithine to create citruline in the mitochondia

How well did you know this?
1
Not at all
2
3
4
5
Perfectly
3
Q

what are these and what do they create?

with which enzyme?

A

they were ornithine and carbamoyl phosphate

they create citruline (see below) with ornithine trasncarbamoylase

How well did you know this?
1
Not at all
2
3
4
5
Perfectly
4
Q

what are these and what do they create?

with which enzyme?

A

aspartate (asp) and citruline produce arginosuccinate (seen below) with ATP

Arginosuccinate synthetase

How well did you know this?
1
Not at all
2
3
4
5
Perfectly
5
Q

what are these and what do they create?

with which enzyme?

A

arginosuccinate and fumarate leaving

this produces arginine

enzyme: Arginosuccinate lyase

How well did you know this?
1
Not at all
2
3
4
5
Perfectly
6
Q

what is this and in the urea cycle, what does it produce via which enzyme?

A

arginine will meet the enzyme arginine lyase and forms ornithine and urea

How well did you know this?
1
Not at all
2
3
4
5
Perfectly
7
Q

when citruline is formed, where does it go?

A

it leaves the mitochondia through a citruline transporter and enters the cytosol for the remainder if the urea cycle

How well did you know this?
1
Not at all
2
3
4
5
Perfectly
8
Q

when ornithine is formed, where does it go to continue the urea cycle? how?

A

ornithine goes back into the mitochondia via ornithine transporter

How well did you know this?
1
Not at all
2
3
4
5
Perfectly
9
Q

what is trypsin? where does it cut?

A

trypsin is an endopeptide that cuts the peptide bond after (on the c term side) arginine and lysine

How well did you know this?
1
Not at all
2
3
4
5
Perfectly
10
Q

what is chymotrypsin? where does it cut?

A

trypsin is an endopeptide that cuts the peptide bond after (on the c term side) of aromatic amino acids

tyrosine, phenylalanine, tryptophan

How well did you know this?
1
Not at all
2
3
4
5
Perfectly
11
Q

how many ATP are needed for one urea cycle?

A

4 atp per cycle

How well did you know this?
1
Not at all
2
3
4
5
Perfectly
12
Q

what is the activator of carbamoyl phosphate synthetase 1?

A

N acetyl glutamate

How well did you know this?
1
Not at all
2
3
4
5
Perfectly
13
Q

n acetyl glutamate is made how? what activates this reaction?

A

glutamate + acetyl-coa + atp

enzyme: n acetyl glutamate synthetase

arginine activates the production of n acetyl glutamate

How well did you know this?
1
Not at all
2
3
4
5
Perfectly
14
Q

what are the 3 ways the urea cycle can be regulated?

A

1: high protein diet causes 10-20x higher enzyme levels
2: N acetyl glutamate activates the 1st step (the rate determining step)
3: high ornithine or arginine causes increased urea cycle rate

How well did you know this?
1
Not at all
2
3
4
5
Perfectly