Vector Algebra and Coordinate Geometry Flashcards

(18 cards)

1
Q

When are two vectors equal?

A

If they have the same length and magnitude

How well did you know this?
1
Not at all
2
3
4
5
Perfectly
1
Q

What equations are definite if vectors a=b?

A

|a| = |b| and a is parallel to b

How well did you know this?
1
Not at all
2
3
4
5
Perfectly
2
Q

What equations are definite if vectors ha=kb where h and k a scalar multiples

A

|ha| =|hb| and a is parallel to b
or, h = k = 0 if a is not parallel to b

How well did you know this?
1
Not at all
2
3
4
5
Perfectly
3
Q

Midpoint of vector AB given the vectors a and b

A

(a+b)/2

How well did you know this?
1
Not at all
2
3
4
5
Perfectly
4
Q

Dot product formula

A

a.b = |a||b| cos θ
where θ is the angle between the two vectors

How well did you know this?
1
Not at all
2
3
4
5
Perfectly
5
Q

Line ratio rule given coordinates

A
How well did you know this?
1
Not at all
2
3
4
5
Perfectly
6
Q

If a = x(1)i + y(1)j and b = x(2)i + y(2)j, then

A

a x b = x1x2 + y1y2

How well did you know this?
1
Not at all
2
3
4
5
Perfectly
7
Q

Given point which divides AB by ratio γ:µ (which are non-negative real numbers) find the length connecting the origin to this point

A
How well did you know this?
1
Not at all
2
3
4
5
Perfectly
8
Q
A
How well did you know this?
1
Not at all
2
3
4
5
Perfectly
9
Q

Magnitude of a vector given its coordinates

A
How well did you know this?
1
Not at all
2
3
4
5
Perfectly
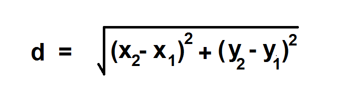
10
Q

Distance of a vector given the coordinates

A
How well did you know this?
1
Not at all
2
3
4
5
Perfectly
11
Q

If the position vectors of the vertices of a triangle are a, b, c, then what is the position vector of the centroid?

A

(a + b + c) / 3
First add the three vectors together to create a new column vector and multiply that by 1/3

How well did you know this?
1
Not at all
2
3
4
5
Perfectly
12
Q

The coordinates of a centroid given the coordinates of the triangle’s vertices

A
How well did you know this?
1
Not at all
2
3
4
5
Perfectly
13
Q

Find out if three points, P,Q and R, are collinear using vectors

A

Three points Q, R, and P are collinear if the sum of the lengths of any two line segments among PQ, QR, and PR is equal to the length of the third line segment:

PQ + QR = PR

or PR +RQ = PQ

or QP + PR = QR

How well did you know this?
1
Not at all
2
3
4
5
Perfectly
14
Q

Second method to find dot product

A

a · b = ax × bx + ay × by

How well did you know this?
1
Not at all
2
3
4
5
Perfectly
15
Q

How to find the unit vector of a vector?

A

Either (1/vector magnitude) x vector or:

16
Q

Midpoint formula given the coordinates

17
Q

Gradient of a line formula