VI. Learning and Adaptation Flashcards

(26 cards)

1
Q

What are the two types of adaptation strategies?

A

Spatial Planning / Exposure Mitigation
-> Private adaptation, Xe.
-> Taking factory out of flood zone.

Protection / Disaster Distribution Mitigation
-> Public adaptation, Xd.
-> Requires government intervention because it assumes that this protection benefits other agents in the economy
-> Building a sea wall or raising a road.

How well did you know this?
1
Not at all
2
3
4
5
Perfectly
2
Q

Are public and private adaptation strategies substitutes or complements?

A

They are imperfect substitutes –> you do both.

However, they could be perfect substitutes if the sea wall is built high enough to be effective to prevent that 1m rise such that private adaptations are useless.

Could also make the argument for complements where by the rise in value from a sea wall might incentivize private adaptations.

How well did you know this?
1
Not at all
2
3
4
5
Perfectly
3
Q

Explain the externalities surrounding a sea wall.

A

With a sea wall, no single individual will pay billions for a sea wall. The fraction of the benefit of sea wall that you internalize is too low –> your individual Mt is fixed for society so you dont get the rewards if you build it.

But if we look at NY collectively it is worth it.

–> Underinvest because of the positive externality

–> Public adaption goods are non-excludable and non-rival making them classic public goods. Requires government intervention.

How well did you know this?
1
Not at all
2
3
4
5
Perfectly
4
Q

How are public adaptations, Xd, best funded?

A

Taxing capital.

This is the optimal solution because it mean everything pays for itself in a way.

By investing, government makes bad states less bad. Future less risky. Incentivizes people to create more capital and invest. Value of installed capital rises.

Residents loose from tax but gain from land value increase.

How well did you know this?
1
Not at all
2
3
4
5
Perfectly
5
Q

Efficiency of Adaptation Spending

A

Exposure mitigation spending is efficient. Firms invest as much as planner would.

Disaster distribution mitigation is inefficiently low.There is an externality

How well did you know this?
1
Not at all
2
3
4
5
Perfectly
6
Q

Relationship between adaptation and capital

A

When you spend on adaptation, you will be able to reduce your losses. This is because you may get a better draw and limit the tail of your damages.

You generate growth by growing your capital stock so regular capital investment or by protecting the existing stock by preventing it from being destroyed which is adaptation.

How well did you know this?
1
Not at all
2
3
4
5
Perfectly
7
Q

Relationship between risk aversion and adaptation spending.

A

Higher risk aversion may be associated with greater adaptation spending

How well did you know this?
1
Not at all
2
3
4
5
Perfectly
8
Q

What is Z in the context of output and capital accumulation?

A

Z is the recovery fraction of capital.

Plays a role in determining evolution of capital stock because with some probability your capital stock at the end of the period may face a jump shock down due to flooding and how much is lost depends on Z.

How well did you know this?
1
Not at all
2
3
4
5
Perfectly
9
Q

How do agents choose their investment and adaptation levels?

A

People are making investment and adaptation decisions in order to maximize the discounted stream of consumption in the future.

Now there is risk so it takes different values for different states of the world in period t. How valuable these cashflows will be in the future depends on many unknowns

The discounting of every person in the country is averaged –> we get the discounting of the entire economy.

How well did you know this?
1
Not at all
2
3
4
5
Perfectly
10
Q

How do we conceptualize belief updating?

A

Pie_T is the probability attached to a bad state.

Every time there is a red dot, arrival, no longer believe a bad sate will occur with zero probability.

If it I have no arrivals for a long time, the probability of a bad state may decrease in my mind. 1/100 -> 1/101 -> 1/102.

But, an arrival then causes a jump because probability may now be 2/102.

–> How firm adapts is based on learning of how bad the state will be based on climate change.

How well did you know this?
1
Not at all
2
3
4
5
Perfectly
11
Q

Uncertainty, predictions and belief updating

A

We only learn about arrival rates. There is no trend.

See draws and over time and if the frequency is high then I know.

Standing in time, we have a lot of uncertainty - not sure of the next draw.

How well did you know this?
1
Not at all
2
3
4
5
Perfectly
12
Q

Apply the learning model to a different scenario

A
  • Investment → how much time you dedicate to studying.
  • Uncertainty is whether the class and midterm were easy or hard. You’ll learn.
  • You figure out if the class is easy or hard as the class unfolds and you do p-sets and midterm.
How well did you know this?
1
Not at all
2
3
4
5
Perfectly
13
Q

How frequently could we expected a disaster in a bad state?

A

Once every 1.5 years

How well did you know this?
1
Not at all
2
3
4
5
Perfectly
14
Q

What is Lambda

A

Arrival rate (damage)

How well did you know this?
1
Not at all
2
3
4
5
Perfectly
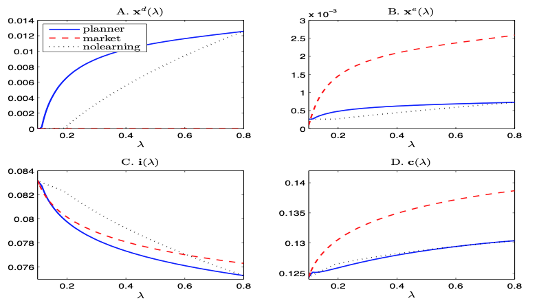
15
Q

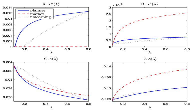
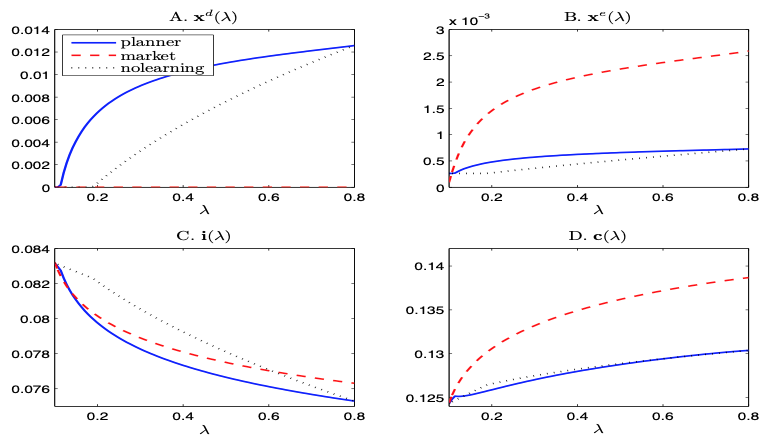
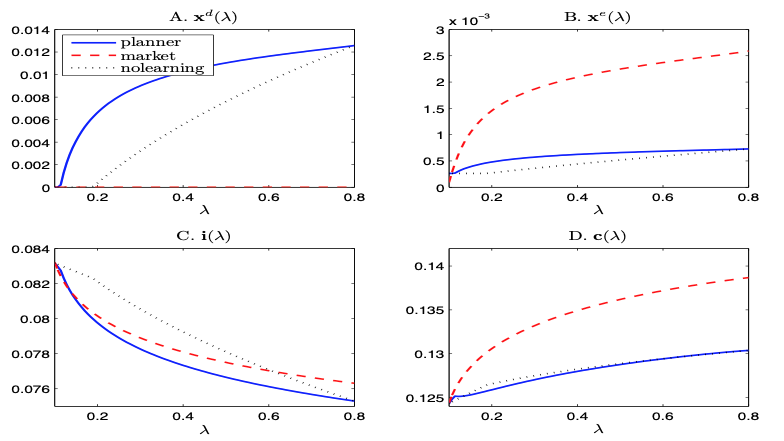
Planner’s Solution versus Competitive Markets

Explain Panel A

A

→ Markets undersupply Xd relative to planner.

  • Investing in Xd as a private individual yields 0. No change in risk perception of economy.
  • Given the externality involved, planner provisions Xd.
How well did you know this?
1
Not at all
2
3
4
5
Perfectly
16
Q

Planner’s Solution versus Competitive Markets

Explain Panel B

A

→ Market have to compensate by doing more of their own adaptations (Xe) which is not socially welfare enhancing.

  • When they move their factory away, they get the full benefit of their actions. Don’t make anybody else in society better off.
  • Planner invests less in Xe because they are substitutes and wants a mix.
17
Q

Planner’s Solution versus Competitive Markets

Explain Panel C

A

Investment goes down as risk goes up because as risk goes up, there is more damage.

18
Q

Planner’s Solution versus Competitive Markets

Explain Panel D

A

Consumption lower in planner solution because more resources are invested.

19
Q

Planner’s Solution versus Competitive Markets

Comment on No-Learning vs Learning in the Panels

A

With learning, planner invests more.

As risk increases, when there is no-learning your investment is linear. With learning, investment is concave.

With no learning, probabilities consistent without over-reaction. With learning, there are over-reactions that incentivize mitigation.

20
Q

Planner’s Solution versus Competitive Markets

Summarize the Key Finding

A

Lower risk and higher growth under planner solution.

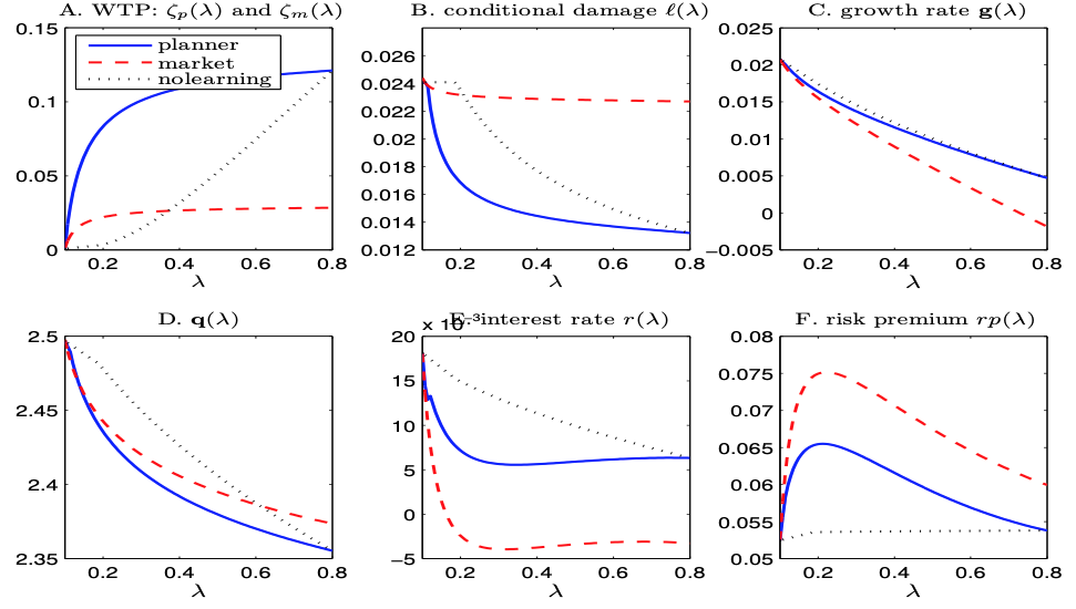
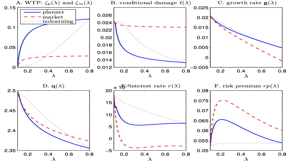
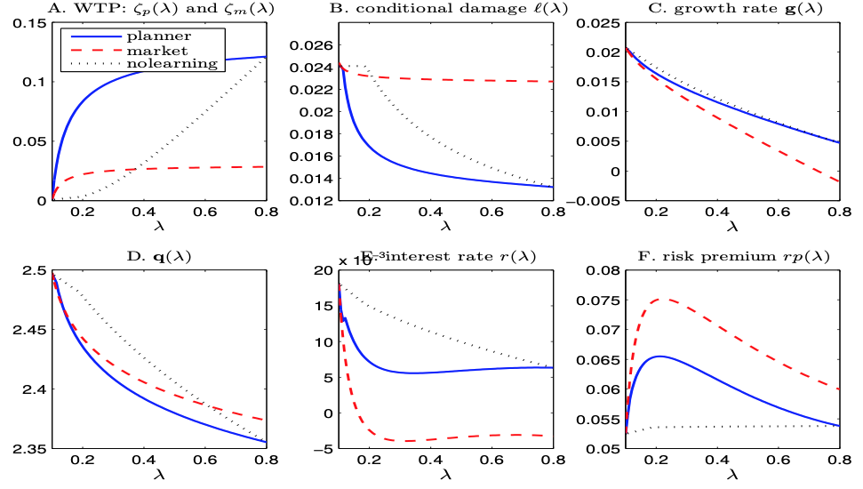
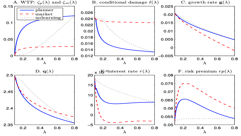
21
Q

Planner’s Solution versus Competitive Markets

Explain Panel A

A

Market-economy WTP close to first-best WTP only when perceived risks are low

22
Q

Planner’s Solution versus Competitive Markets

Explain Panel B

A

Markets are riskier with less adaptation. More risk means more damage.

Planner is less risky than market because the planner is pumping out the sea walls as risk goes up.

23
Q

Planner’s Solution versus Competitive Markets

Explain Panel C

A

Markets grow slower because they have less adaptation

Less adaptation means the world is riskier, invest less, slower growth.

24
Q

Planner’s Solution versus Competitive Markets

Explain Panel D

A

Shareholders do better in markets than planner solutions because they dont have to pay for it.

This is like the Venice situation where italian government paid for sea wall and venice property values went up.

25
Planner’s Solution versus Competitive Markets Explain Panel F
Risk premiums of learning and no learning converge. If you’re either in the bad or good state, are there forever so there is no more learning. Once you know it's good or bad, the market has less of a risk premium - truth reveals. But in the middle, you don’t know and you have to prepare for the worst case.
26
Planner’s Solution versus Competitive Markets Comment on No-Learning vs Learning in the Panels
--> With learning, more risk and uncertainty leads to more adaptations and society is better off with these adaptations. - For instance, lower conditional damage for planner solution with learning.