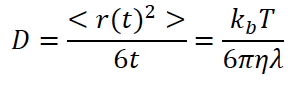
Formel für den Diffusionskoeffizienten D

Temperatur-Viskositätsverhalten von Glas bei der Glasübergangstemperatur
Glas bei Tg zeigt visko-elastisches Verhalten analog einem Maxwell Material

Mechanische Katergorie “Fluid/Rigid”
Mechanisch und thermdynamische Beschreibung von Glas
Gläser sind im mechanischen Sinne immer elastische Festkörper. Thermodynamisch gesehen wird er nicht als Festkörper angesehen
Thermodynamische Katergorie “liquid/solid”
Charakteristische Glas-Viskositäten 1

Charakteristische Viskositäten 2

Wann wird ein fester Zustand ohne Translationssymmetrie erreicht?
Strukturell gesehen erreicht eine Schmelze einen eingefrorenen, festen Zustand ohne Translationssymmetrie nur dann, wenn die Kristallisation durch einen “Frustrationsmechanismus” unterdrückt wird.