Vitamin C Flashcards

(52 cards)

1
Q

Importance of vitamin C history

A

The importance in nutrition has been documented for thousands of years with the deficiency of scurvy first described before BC. Most famous though is our explorers where deficiency caused huge amount death to sailors.
* described in Eber papyrus (1150 B.C) and by Hippocrates (420 B.C.)

How well did you know this?
1
Not at all
2
3
4
5
Perfectly
2
Q

When was vitamin C isolated?

A

Vitamin C (ascorbic acid) isolated in 1928 and structure determined in 1933

How well did you know this?
1
Not at all
2
3
4
5
Perfectly
3
Q

Well known explorations with vitamin C deficiency

A
  • 1498: Portuguese, Vasco da Gama lost 60% of crew
  • 1535: French, J. Cartier, most crew developed scurvy
  • 1790s: British sailors had died from scurvy on sea voyages, but Protected by sucking on limes; “Limey”
How well did you know this?
1
Not at all
2
3
4
5
Perfectly
4
Q

Limey

A

nutritional intervention for sailors by sucking on limes to get vitamin C
* healthy sailors meant you could get their faster and fight better

How well did you know this?
1
Not at all
2
3
4
5
Perfectly
5
Q

Why is vitamin C named ascorbic acid?

A

due to its “antiscorbutic” action

How well did you know this?
1
Not at all
2
3
4
5
Perfectly
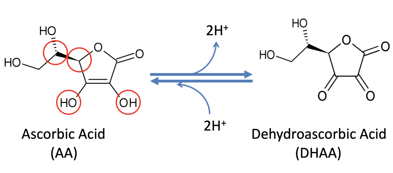
6
Q

What are the 2 main forms of vitamin C?

A

Ascorbic acid (AA) and Dehydroascorbic Acid (DHAA) which can be a reversible reaction
* AA is the main active form and can donate 2 Hs with electrons to free radicals and becomes DHAA
* Readily accepts hydrogens to become AA. The reversibility of this reaction is key to vitamin C’s role as an antioxidant.

How well did you know this?
1
Not at all
2
3
4
5
Perfectly
7
Q

What is the main structural difference between AA and DHAA?

A

AA has alcohols (OH-) at its active sites and DHAA just has ketones (O=)

How well did you know this?
1
Not at all
2
3
4
5
Perfectly
8
Q

Where is the active site of AA?

A

the alcohol groups
* donating its two hydrogens with their electrons to free radicals

How well did you know this?
1
Not at all
2
3
4
5
Perfectly
9
Q

What structure is AA similar to?

A

Looks similar to glucose
* Many animals can make AA themselves but not humans

How well did you know this?
1
Not at all
2
3
4
5
Perfectly
10
Q

Main role of AA

A

Invovled in reduction reactions with enzymes AND without enzyme
* Can reduce once or twice
* antioxidant

How well did you know this?
1
Not at all
2
3
4
5
Perfectly
11
Q

Mechanism of AA in reduction

A

Seen in many different reactions, so the OH groups are important in supplying reactions with e- and H+ and can happen in 2 different steps so can get donation of 1 H and then donation of another, so 1 or both might happen. Essentially AA donates H+ and e- and in doing so it is reducing something. The DHAA needs to be converted back to AA which the enzyme for this is dehydroascorbate reductaseb which uses glutathione. Glutathione reductase then converts the oxidized glutathione back to reduced.

How well did you know this?
1
Not at all
2
3
4
5
Perfectly
12
Q

Ascorbic Acid Biosynthesis

A

starts with D-glucose as the precursor and have the enzyme gulonolactone oxidase to make ascorbic acid
* Ascorbic acid is synthesized by plants and many animals
* However, Bats, birds, fish and humans lack the enzyme

How well did you know this?
1
Not at all
2
3
4
5
Perfectly
13
Q

Absorption of AA

A

Occurs primarily by active transporters for the reduced form only into entercytes and transported in plasma as ascorbic acid
* transporters are sodium dependant, saturable and dose-dependent

How well did you know this?
1
Not at all
2
3
4
5
Perfectly
14
Q

What are the transporter for AA?

A

sodium-dependent Vit C transporter
* SVCT1 – low affinity, high capacity (↓ Km)
* SVCT2 – high affinity, low capacity (↑ Km)

How well did you know this?
1
Not at all
2
3
4
5
Perfectly
15
Q

bioavailability of vitamin C

A
  • AA - 80-90% bioavailable up to ~100 mg dose
  • DHAA - 10% bioavailable
How well did you know this?
1
Not at all
2
3
4
5
Perfectly
16
Q

How does DHAA get transported?

A

facilitative transport through GLUT transporters
* GLUT1, GLUT3, GLUT4

How well did you know this?
1
Not at all
2
3
4
5
Perfectly
17
Q

Tissue distribution of AA

A
  • In vital organs with active metabolism
  • total body pool size about 1500 mg
  • half life about 20 days
  • turnover rate 1 mg/kg/day
How well did you know this?
1
Not at all
2
3
4
5
Perfectly
18
Q

Tissue vitamin C concentration and transporter distribution

A
  • SVCT1 (↓ affinity; ↑ capacity): responsible for absorption of vitamin C in the intestine and present in kidneys to respond and transport vitC back into circulation;
  • SVCT2 (↑ affinity; ↓ capacity): Tissues that require a lot of vitC use this form so get a lot transported in at a lower concentration; brain, heart, eyes, adrenal
How well did you know this?
1
Not at all
2
3
4
5
Perfectly
19
Q

Main role of SVCT1

A

Maintenance of the whole-body homeostasis
* dietary absorption
* renal reabsorption

How well did you know this?
1
Not at all
2
3
4
5
Perfectly
20
Q

Main role of SVCT2

A

AA uptake in metabolically active and specialized tissues
* Brain, adrenal glands, leukocytes, platelets

How well did you know this?
1
Not at all
2
3
4
5
Perfectly
21
Q

oxidation of AA

A

AA is oxidized to DHAA which may be reduced back to ascorbate by GSH and NADPH (required to recycle GSSG back to GSH)
* Oxidized form may be further oxidized to 2,3- diketogulonic acid
* Diketogulonic acid is cleaved into oxalic acid and 4 or 5 carbon sugars

22
Q

What forms of AA are excreted?

A

Dehydroaxcorbate, diketogluconate, oxalic acid and excess ascorbate excreted in urine
* 25% of vitamin C intake is excreted as oxalic acid

23
Q

How is AA reabsorbed from the kidneys?

A

Amount of vitamin C filtered and then reabsorbed by kidneys depends on plasma vitamin C concentrations - Plasma levels above 1.4 mg/dL exceeds renal threshold and vitamin C will not be reabsorbed
* Body pool < 1,500 mg leads to only breakdown metabolites in urine
* Body pool > 1,500 mg leads to proportionately more ascorbate in the urine (can mask clinical tests, such as urinary glucose)

24
Q

Functions of Vitamin C

A

Electron-donor
Enzymatic Functions:
* Monoxygenases
* Dioxygenases

Non-enzymatic Functions:
* Antioxidant
* Iron absorption
* Tetrahydrobiopterin recycling

25
vitamin C Monoxygenase Example
Norepinephrine * Cu+ reduces dopamine to norepinephrine via dopamine β-hydroxylase and is oxidized to Cu2+. AA then reduces Cu2+ back to Cu+ by donating 1 H and e-.
26
vitamin C Dioxygenase Example
Collagen hydroxylation * Hydroxylation of proline and lysine residues along the protein which stimulates proper folding → structural stability * Mechanism likely involves reduction of Fe3+ to Fe2+ in hydroxylase enzymes (AA assistes in recyclinh iron back)
27
Where is collagen hydroxylation important?
extracellular matrix; * skin, bone, cartilage, tendons, scar tissue, basement membrane epithelial and smooth muscle cells
28
Antioxidant activity of vitamin C
* REACTIVE OXYGEN SPECIES * REACTIVE NITROGEN SPECIES * REACTIVE SULFUR SPECIES * ANTIOXIDANT RADICALS
29
How does vitamin C assist in antioxidant activity?
maintains antioxidant status/ oxidative stress by reducing compounds
30
How does Vit C Enhance Iron Absorption
Reduces dietary Fe(III) to Fe(II) which Increases absorption 10-fold
31
why do people with vitamin C deficiency have lack of energy?
* lack of iron absorbed * Lack of epinephrine being formed
32
Other roles for vitamin C
* Recyles Tetrahydrobiopterin * Carnitine synthesis from trimethyllysine * co-factor for petidylglycine α-amidating monooxygenase * anti-histamine reactions * drug and steroid metabolism * Can act as a pro-oxidant in high concentration
33
What is Tetrahydrobiopterin
important for relaxation of muscles * used to convert several amino acids, including phenylalanine, to other essential molecules in the body including neurotransmitters
34
What is petidylglycine α-amidating monooxygenase
Involved in making hormones, hormone-releasing factors and neurotransmitters (gastrin, CCK, oxytocin, corticotropin, calcitonin, thyrotropin, vasopressin)
35
role of vitamin C in drug and steroid metabolism
* Hydroxylation/ inactivation of aldosterone, cortisol, cholesterol * cytochrome p-450
36
How does vitamin C act as a pro-oxidant?
Too much of a good thing becomes bad. High levels of vitC can get pro-oxidant behaviour and overwhelm cells ability to bring deascorbic acid back to ascorbic get more of the oxidant reaction happening so more oxidative stress- extreme levels
37
Vitamin C DRIs
RDA; mg/d * M - 90 * F - 75 * ↑ with pregnancy and lactation
38
UL of vitamin C
2000 mg/d * Can act as a pro-oxidant
39
Rich sources of vitamin C
* vegetables and fruits * lemons and limes *
40
How does cooking effect vitamin C?
* Destroyed by heat, light, oxidation, alkaline solution * stable in acidic environment
41
Ascorbic acid deficiency
* Scurvy (> month w/o AA) * Subclinical deficiency more common
42
Who is mosty susceptible to scurvy?
cancer cachexia, alcoholism, poor dietary intake
43
Symptoms of vitamin C deficiency
* Anemia (fatigue) (Norepinephrine/Iron absorption) * Atherosclerotic-type plaques (Recycling of BH4 maintains NO) * Dermal hemorrhages, bone fragility (collagen) * Poor wound healing, frequent infections, bleeding gums, loosened teeth (collagen)
44
How much AA is needed to prevent scurvy?
10 mg/d
45
How long does it take for scurvy to actually occur?
After 45-80 days of stopping vitamin C intake
46
The 4 Hs of scurvy
* Hemorrhagic signs * Hyperkeratosis of hair follicles (Loss of hair) * Hypochondriasis (psycological) (depression) * Hematological (impaired iron absorption)
47
ascorbic acid toxicity
Rare; relatively non-toxic (up to 1g tolerated) * More likely to occur with ingestion of several large (>1g) doses – because absorption is saturable and dose dependent
48
What are potential symptoms of vitamin C toxicity?
* kidney stones (oxalic acid + calcium) * Urate crystals and urate kidney stones (vit. C competse with uric acid reabsorption) * Increased iron absorption → heamochromatosis * Pro-oxidant activity; AA* * Interference with clinical tests (glucose in urine)
49
Vit C impact on All-cause Mortality
Systematic review of RCTs using antioxidant supplements vs placebo or no intervention Assessing effects on mortality showed no significant changes
50
Vit C & Cardiovascular diseases
Believed that increased dietary intake is associated with lower incidence of CVD but there are conflicting results regarding Vit C supplementation from clinical trials * May have a therapeutic role via effects through BH4 recycling and NO production
51
Vitamin C: Role in Cancer
**Epidemiology**: People with high intakes of vitamin C from fruits and vegetables might have a lower risk of getting many types of cancer, such as lung, breast, and colon cancer. BUT **RCTs**: Taking vitamin C supplements, with or without other antioxidants, doesn't seem to protect people from getting cancer
52
Vitamin C and common cold
High doses o fvitaminC (1-2g) have not shown any benefits * Regular vitamin C use (up to 1g/day) modestly reduced duration of symptoms (3-13%)