β-carotene

Retinol (A)

Calciferol (D)

Tocoferol (E)

Phylloquinone (K)

Thiamine (B1)

Riboflavin (B2)

Niacin (B3)

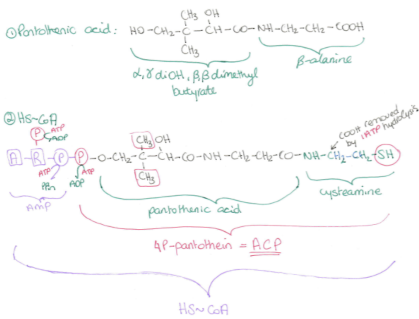
Pantothenic Acid (B5)

Pyridoxine (B6)

Biotin (H)

Folic Acid (B9)

Cobalamin (B12)

Ascorbic acid (C)

Choline structure

Inositol

Nicotinamide/NADP+ formation

Sources of Retinol
Deficiency of Retinol
Sources of Cholecalciferol
Deficiency of Cholecalciferol
Sources of Tocopherol
Deficiency of Tocopherol
Sources of Phylloquinone