What does evaluation of volatility forecasts differ from regular forecast evaluation?
We do not observe realisation of variance/volatility, hence we need a proxy to evaluate the forecast
What are typical variance proxies for forecast evaluation?
Squared returns
Squared errors
Realized variance
What is a Diebold Mariano for volatility forecasting?
A test of relative performance of 2 forecasts. Typical loss function is MSE (again need proxy) or QML statistic. Always estimate errors with Newey West. DM statistic is distributed N(0,1)
What are some problems with Realized Variance?
1) Data quality (typos, non-audited) 2) Market closure 3) Only observed in discrete grid 4) Price data not available at all times (can use interpolation) 5) Bid-Ask Bounce (causes upwards bias)
What are some solutions to the problems of Bid-Ask Bounce in Realized Variance estimation?
Less frequent sampling Remove bounce using MA(1) Use Mid-Quotes Use RV-AC1 estimator (unbiased yet not persistent)
What is the RV-AC1 estimator

How to solve the problem of Market Closure?
Add squared close-to-open return. Potentially weight it in, using an appropriate weight
What is a Volatility Signature Plot?
Plots average RV at different sampling frequencies. Pick a sampling frequency where RV is stable. Too high and RV is upwards biased from bid-ask bounce, too low and it underestimates variance.
How can variance be modelled using RV?
Either directly using an ARMA or as latent using normal ARCH-family models
What is a HAR model
A restricted AR model on Realized variance. Captures daily, weekly and monthly patterns. Regresses RV_t on RV_(t-1) and average RV for 5 first lags and RV for 22 first lags
How to use RV as latent variable?
inse

What is the VIX
It is a model-free measure of implied volatility. It uses both calls and puts, mainly out-of-the-money for higher liquidity
What are some problems with model-free implied volatility?
Only finite number of calls Thin trading (liquidity) Needs to discretize the integral
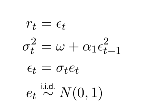
Write out an ARCH(1)

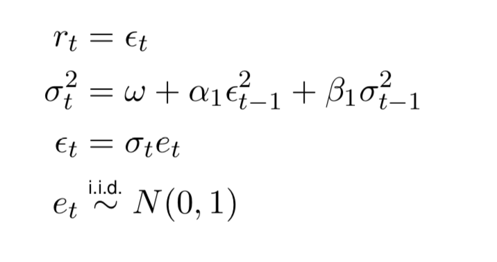
White out an GARCH(1,1)

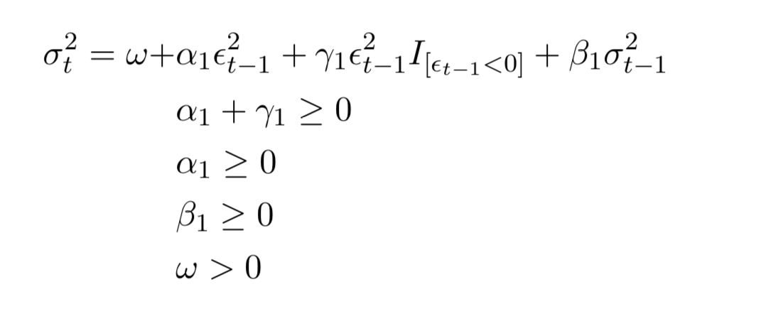
Write out an GJR-GARCH(1,1,1)

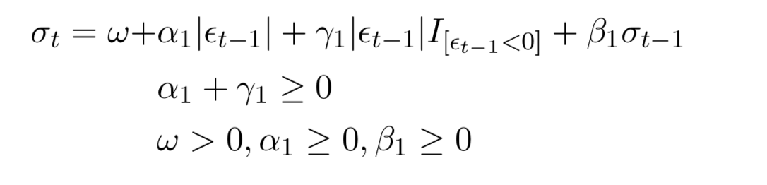
Write out a TARCH(1,1,1)

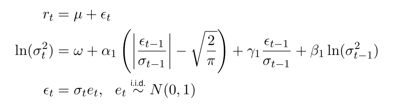
Write out an EGARCH(1,1,1)

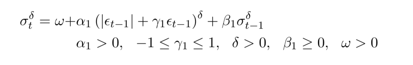
Write out an APARCH(1,1,1)

Which types of options are used in VIX?
Only out of the money (for higher liquidity). Both call and puts
How do you scale weekly volatility to annual?
sqrt(52) * weekly vol
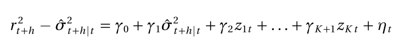
What is the general for of the Mincer Zarnowitz for forecast evaluation?
