What is the T-test used for?
To compare the means of two groups. It is often used in hypothesis testing to determine whether a process or treatment actually has an effect on the population of interest, or whether two groups are different from one another.
What is the formula for t?
Difference between two means divided by the sqrt(Standard Deviations squared divided by n, then added together )

What is the Pooled Standard Deviation?
A weighted average of standard deviations for two or more groups.
What is the formula for pooled standard deviation?
SDp = sqrt( (n₁ - 1)SD₁² + (n₂ - 1)SD₂²) / (n₁ + n₂ - 2) )
What are the assumptions of T-tests?
The dependent variable is continuous Each observation of the dependent variable is independent of the other observations Variance of the dependent variable is similar at each value of X Residuals normally distributed Bivariate independent variable (X and Y)
What if we compare performance before and after an intervention for the same group?
This introduces dependency in the data. Same participants before and after Participants will be similar to themselves, more than to others, all other things being equal.
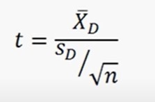
What is the t-test if we compare performance before and after an intervention for the same group?
t = X[mean]diff / (SDdiff / √n)
What do we use to compare more than two groups?
ANOVA framework.
True or False. T-tests are just General Linear Models
True
What are the types of ANOVA?
One-way ANOVA • One independent variable • Differences between 2 or more groups • If 2 groups, results match corresponding t-test Factorial ANOVA • More than one independent variable • Typically interested in testing multiple independent effects simultaneously Repeated-measures ANOVA • Participants are involved in more than one condition/timepoint (dependency)
What is error rewritten as in GLM?
ε
What happens to the multiple regression equation when adding the error?
Just add + ε at the end.
What is the equation for t if the data is dependant? (Same group, but then did an intervention)
Where you just get all the differences, then get the mean of that, get the Standard deviation of the differences numbers, then divide by sqrt n
