WAVES (PART 4) Flashcards

(35 cards)

1
Q
  1. What is a Sound Wave?
A
  • it is a moving disturbance of the molecules of air
How well did you know this?
1
Not at all
2
3
4
5
Perfectly
2
Q
  1. What are Compressions?
A
  • they are the areas where the molecules of air are closer together
How well did you know this?
1
Not at all
2
3
4
5
Perfectly
3
Q
  1. What are Rarefactions?
A
  • they are areas where the molecules become more sparse
How well did you know this?
1
Not at all
2
3
4
5
Perfectly
4
Q
  1. What results in the sensation of sound?
A
  • when the compressions and the rarefactions of the
    waves strike the eardrum
  • this will only happen when the frequency of the waves
    is between 20Hz and 20 00Hz

NB: the wave will go in the same direction as the particle
movement

How well did you know this?
1
Not at all
2
3
4
5
Perfectly
5
Q
  1. What are Ultrasonic waves?
A
  • they are waves that have a frequency of above 20 kHz
How well did you know this?
1
Not at all
2
3
4
5
Perfectly
6
Q
  1. What are Infrasonic Waves?
A
  • they are waves that have a frequency of below 20 Hz
How well did you know this?
1
Not at all
2
3
4
5
Perfectly
7
Q
  1. What are Acoustic Waves?
A
  • they are waves that have a frequency between 20Hz and 20kHz
How well did you know this?
1
Not at all
2
3
4
5
Perfectly
8
Q
  1. What does the speed of sound depend on?
A
  • it is not fixed
  • it depends on the material through which the wave is
    travelling

NB: an increase in the stiffness of the medium of the speed of sound leads to an increase in the sound

How well did you know this?
1
Not at all
2
3
4
5
Perfectly
9
Q
  1. What equation allows for us to predict the Speed of Sound?
A
  • the Bulk Modulus is the same as the Young’s Modulus
How well did you know this?
1
Not at all
2
3
4
5
Perfectly
10
Q
  1. What is the speed of sound in air that has a temperature of 0°C?
A
  • 331 m/s
How well did you know this?
1
Not at all
2
3
4
5
Perfectly
11
Q
  1. What is the speed of sound in air that has a temperature of 20°C?
A
  • 343 m/s
How well did you know this?
1
Not at all
2
3
4
5
Perfectly
12
Q
  1. How much does the speed of sound increase with a 1°C rise in temperature?
A
  • the speed increase by about 0.61 m/s
How well did you know this?
1
Not at all
2
3
4
5
Perfectly
13
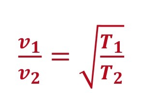
Q
  1. What equation would we use to relate the speed of sound to temperature?
A
How well did you know this?
1
Not at all
2
3
4
5
Perfectly
14
Q
  1. What is the speed of sound independent of?
A
  • pressure
  • frequency of the wavelength
    (this is objective and measurable)
How well did you know this?
1
Not at all
2
3
4
5
Perfectly
15
Q
  1. What is Pure Tone?
A
  • it is a sound wave
  • it has an amplitude that varies sinusoidally
    (its movement looks like a sine curve)
How well did you know this?
1
Not at all
2
3
4
5
Perfectly
16
Q
  1. What are two things that we associate with Pure Tone with regards to hearing?
A
  • pitch
    (this is subjective)
  • loudness
17
Q
  1. What is Pitch?
A
  • it is how high or low something sounds
  • it is also where the sound lies on a musical scale
    (this is determined by the frequency)
  • it will define the tone of the sound
18
Q
  1. What does a higher frequency result in?
A
  • a higher pitch
19
Q
  1. What is the difference between Pitch and Frequency?
A

PITCH:
- describes a subjective impression
- this is also a psychological one

FREQUENCY:
- it objective
- it is a measurable property

20
Q
  1. What is Loudness?
A
  • a measure of the human perception of sound
21
Q
  1. Is the relation of intensity and loudness linear?
A
  • no
  • a sound wave of high intensity is perceived as louder
22
Q
  1. What is the sensation of sound roughly proportional to?
A
  • the logarithm of the sound intensity
23
Q
  1. What is the intensity or the loudness level (L l) defined by?
A
  • it is defined by an arbitrary scale
  • this scale corresponds roughly to the sensation of
    loudness
24
Q
  1. What is a zero on the Sensation of Loudness scale?
A
  • it is taken at the sound wave intensity of:
    L0 = 1.00 x 10⎺¹² W/m²
25
25. How is the intensity ratio calculated?
- the unit is in dB - this is a dimensionless unit - it is used to represent the relative magnitude of intensities
26
26. How is the sound intensity level calculated?
- the unit is in dB NB: a 20 dB increases in intensity levels results in a 10² increase in intensity
27
27. What is the dB scale used to indicate?
- relative magnitudes - the absolute acoustic unit is often written as dB SPL (sound pressure level)
28
28. How is dB SPL calculated?
29
29. What are speech sounds produced through?
- they are produced through the movement of organs - these constitute to the vocal tract - this vocal tract acts on the air in the respiratory passages
30
30. What do the vocal organs generate?
- they generate a local disturbance on the air - they generate this at several positions in the vocal tract - this creates the sources for speech production
31
31. What are Acoustic Waves generated by?
- they are generated by sources such as vocal organs - they are then modified during the propagation through the vocal tract
32
32. What are two factors that contribute to the Structure of Speech sounds?
- these are generated by the combined effect of sound sources and vocal tract characteristics
33
33. What factors make up the Vocal tract?
- the cavities of the mouth - the nasal cavity - the pharynx NB: - changes in the shapes of these areas produce different sounds - they have huge flexibility - this allows us to generate different tones
34
34. What is needed to create sound?
- an energy source
35
35. What is most of human speech and communication carried out by?
- it is carried out by using air from the lungs while exhaling