wave speed
rate at which a wave transmits the energy or matter it is carrying. v= frequency*wavelength
angular frequency
radians/second
frequency
1/T where T = period of the wave
period
T=1/f time it takes for a wave to complete one full cycle
traveling wave
have nodes and antinodes that move with wave propagation
standing wave
antinodes and nodes do not move with wave propagation
transverse wave
direction of particle oscillation is perpendicular to propagation - light
longitudinal waves
propagate parallel to medium - sound
particles of medium vibrate/oscillate about an equilibrium position resulting in areas of compression alternating with decompression

sound

linear density
speed of sound

pitch
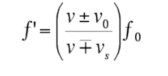
doppler effect

sound intensity