What is the new Multivariate Linear Regression formula?

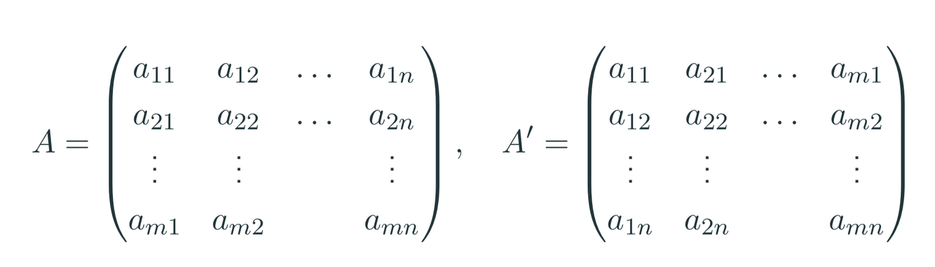
What is A’?
It is the Transpose of vector A

When has a matrix full rank?
If AX = In, so then X = A-1
When is a square matrix idempotent?
If AA = A
When is a square matrix symmetric?
If A’ = A
When is a matrix orthogonal?
If A’A = In
When are two matrices orthogonal to each other?
If A’B = 0
What is the trace of a matrix?
The sum of its diagnoal elements
What are the 3 important properties of a trace?
How is the rank determined?
Column rank: number of independent columns
Row rank: number of independent rows
What holds for an idempotent matrix?
r(A) = tr(A)
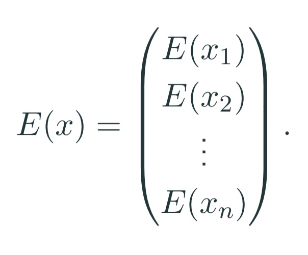
How to calculate the multivariate expectation?

What is the definition of the multivariate variance?

How to calculate the multivariate variance?
Var(X) = E[(x-E(x))(x- E(x))’]
How to calculate the multivariate covariance?
Cov(x, y) = E[(x - E(x))(y - E(y))’]
What are the rules for the covariance and variance with matrices in front of the variables?
Cov(Ax, By) = A Cov(x, y) B’
Var(x) = A Var(x) A’