basic goal behind linear regression (basic 2 var example)

in linear regression what are the variables


in lin reg how do we determine which model best fits the data
the model with the min sum of errors on training data
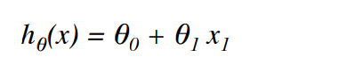
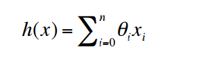
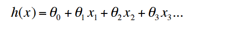
this is the linear regression equation, what does it expand to


in lin reg, what happens if you specify a too big or too small learning rate
to small: gradient descent can be slow
too big: gradient descent can overshoot the min and fail to converge or even diverge