Week 3 Flashcards

(16 cards)

1
Q

What is a population bivariate linear regression?

A

A tool that allows to decompose random variable Y into a linear function of another variable X and a regression residual.

Y= a + bX + e

[a + bX] is population regression line

How well did you know this?
1
Not at all
2
3
4
5
Perfectly
2
Q

What is the best linear predictor of Y given X?

A

Population regression line

How well did you know this?
1
Not at all
2
3
4
5
Perfectly
3
Q

Why is the population regression line the best linear predictor of Y?

A

It minimizes mean squared error. Minimizes e = Y - a - bX

How well did you know this?
1
Not at all
2
3
4
5
Perfectly
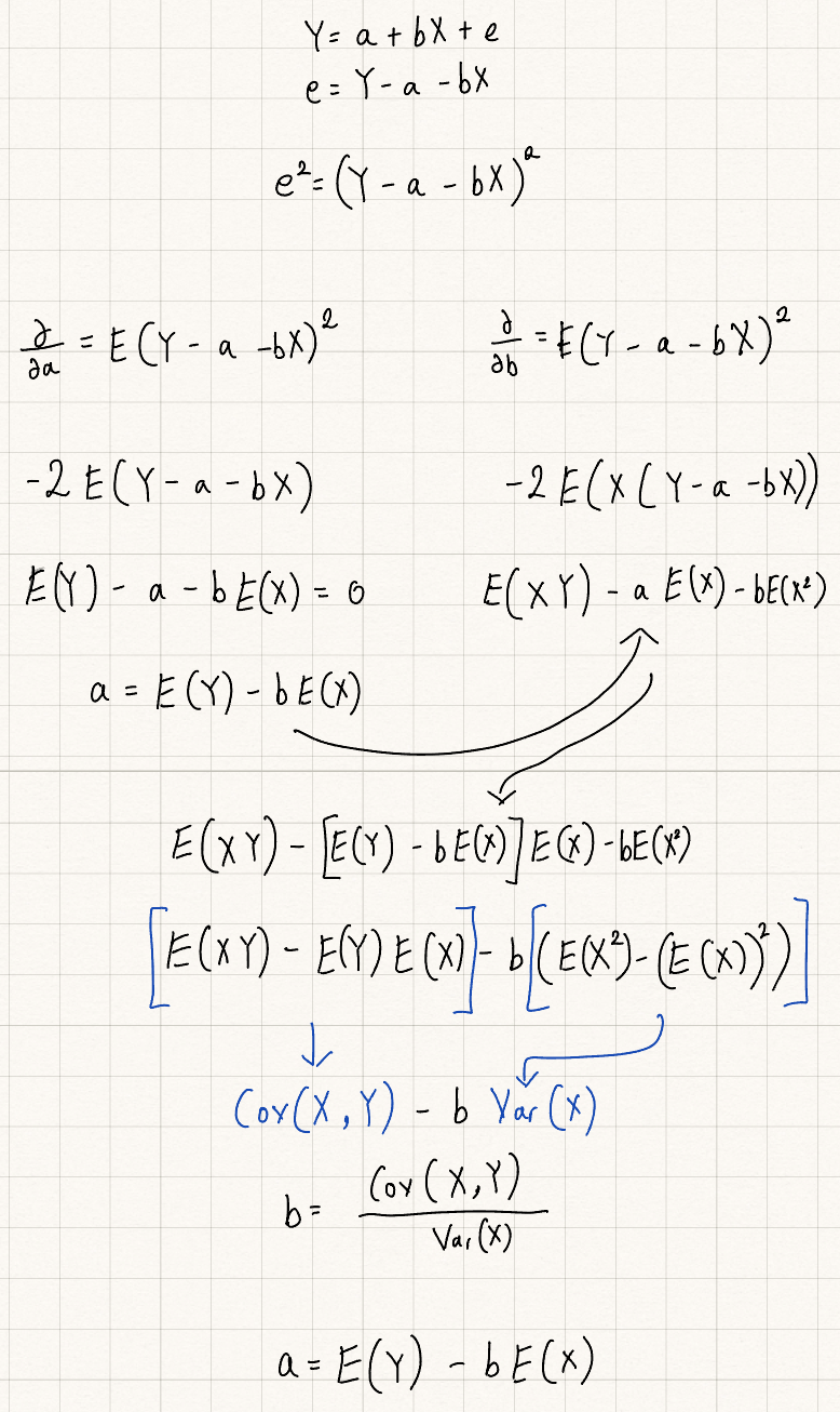
4
Q

Minimise the mean squared error by calculus and show how to get (b) and (a).

A
How well did you know this?
1
Not at all
2
3
4
5
Perfectly
5
Q

What is the relation with regression residuals and regressors?

A

Regression residuals are uncorrelated with regressors by construction. Since b is defined by the property that Cov(X, e) = 0

How well did you know this?
1
Not at all
2
3
4
5
Perfectly
6
Q

What are a and b in the population bivariate regression?

A

a is the intercept and b is the slope of the the regression line.

How well did you know this?
1
Not at all
2
3
4
5
Perfectly
7
Q

An economist has an economic model of earnings where education (X) has a positive causal effect on earnings (Y). What is (u) in Y = a + bX + u

A

(u) is any other determinant of earnings other than education.

How well did you know this?
1
Not at all
2
3
4
5
Perfectly
8
Q

What are the 3 assumptions we make that (X) is not affected by (u).

A

1) E(u|X) = 0

Average error term for any given amount of X is zero

2) E(u|X) = E(u)

Average error term is same for any given amount of X

3) Cov(u, X)

Error term is uncorrelated with X

How well did you know this?
1
Not at all
2
3
4
5
Perfectly
9
Q

What is zero conditional mean assumption?

A

Implies E(u) = 0 hence, E(u|X) = E(u), which also implies uncorrelatedness

How well did you know this?
1
Not at all
2
3
4
5
Perfectly
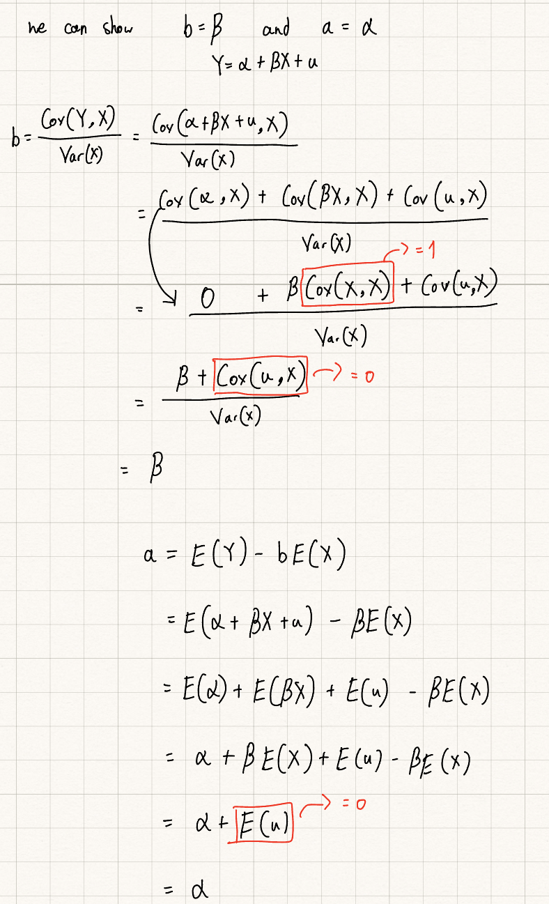
10
Q

Show that b and a are unbiased estimators in population regression function.

A
How well did you know this?
1
Not at all
2
3
4
5
Perfectly
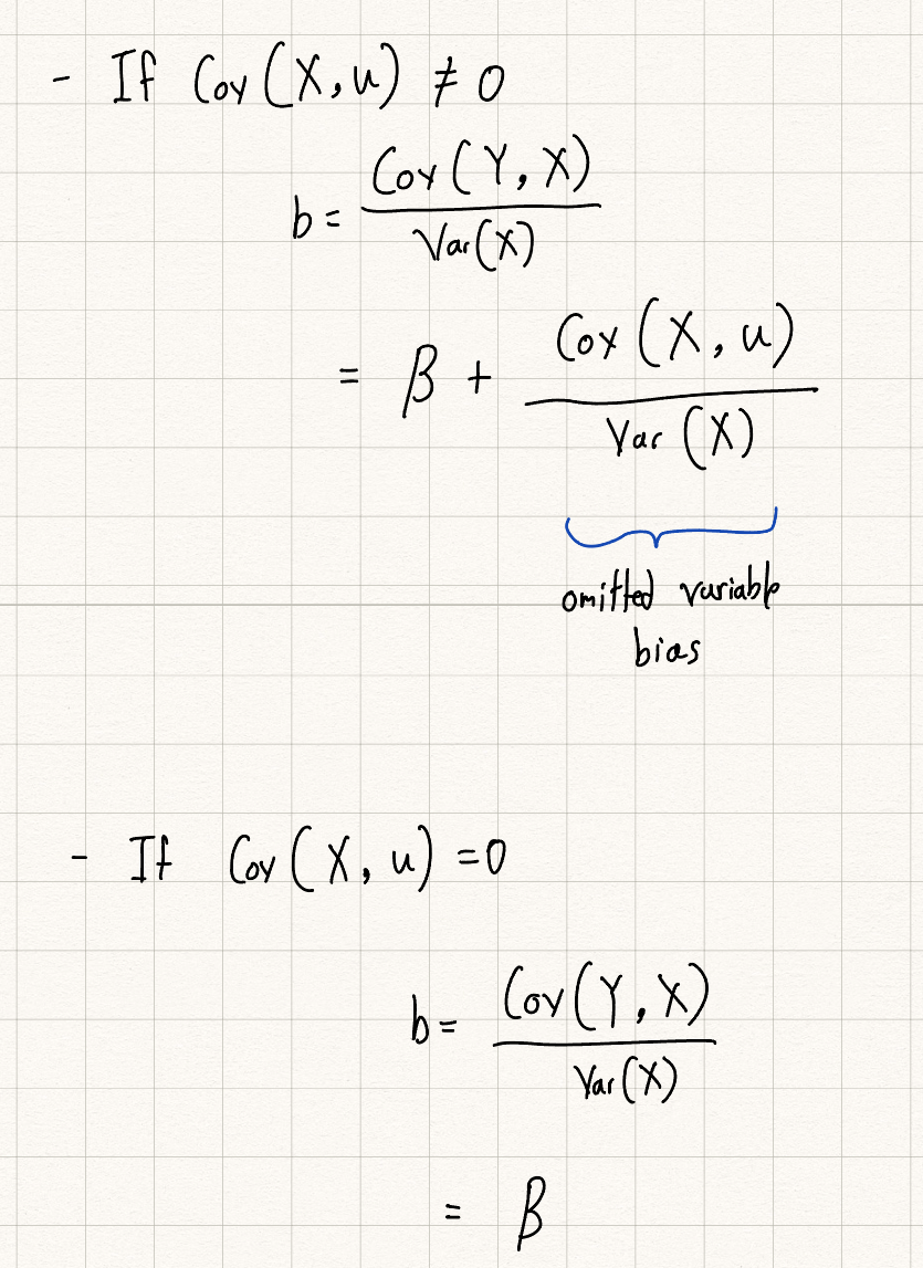
11
Q

How to show omitted variable bias in both cases? compare when X and u and correlated and uncorrelated.

A
How well did you know this?
1
Not at all
2
3
4
5
Perfectly
12
Q

How to describe the assumption Cov(X,u) = 0 makes sense using years of schooling and average ability?

A

If years of schooling were randomly assigned to individuals across a population. Average ability would be same across different years of schooling. In that case schooling and ability would be uncorrelated.

How well did you know this?
1
Not at all
2
3
4
5
Perfectly
13
Q

In reality we do not have all data in population we use a sample. what are the formulas for the estimand (b) and estimator (b hat).

A
How well did you know this?
1
Not at all
2
3
4
5
Perfectly
14
Q

Under which 2 assumptions is b hat a desirable estimator of b.

A

1) Large random sample

2) Large outliers in X and Y are unlikely

How well did you know this?
1
Not at all
2
3
4
5
Perfectly
15
Q

What is an assumption of b hat that allows us to contract confidence intervals and conduct hypotheses tests.

A

b hat is asymptotically normally distributed

How well did you know this?
1
Not at all
2
3
4
5
Perfectly
16
Q

What are the 3 assumptions that b hat is a desirable estimator for b in bivariate econometric model.

A

1) Large Random Sample

2) Large outliers in X and Y are unlikely

3) Zero conditional mean E(u|X) = 0