what is a Markov process
Markov process is a particular type of stochastic process where only the current value of a variable is relevant for predicting the future. The past history of the variable and the way that the present has emerged from the past are irrelevant.
The Markov property implies that the probability distribution of the price at any particular future time is not dependent on the particular path followed by the price in the past.
what type of market efficiency is Markov process aligned with and why
This states that the present price of a stock impounds all the information contained in a record of past prices. If the weak form of market efficiency were not true, technical analysts could make above-average returns by interpreting charts of the past history of stock prices. There is very little evidence that they are in fact able to do this.
Suppose that it was discovered that a particular pattern in a stock price always gave a 65% chance of subsequent steep price rises. Investors would attempt to buy a stock as soon as the pattern was observed, and demand for the stock would immediately rise. This would lead to an immediate rise in its price and the observed effect would be eliminated, as would any profitable trading opportunities.
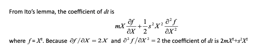
explain why a Markov stochastic process. has a mean of 0 and variance of 1 and a mean of 0 and a variance of 2 after 2 years
Because the variable is Markov, the two probability distributions are independent.
The change in 2 years is the sum of two normal distributions, each of which has a mean of zero and variance of 1.0.
why is uncertainty is sometimes referred to as being proportional to the square root of time.
the mean remains 0
the variance for time difference of 1-2 years = 2 (sum of variance to year 1 plus variance to year 2)
the variance for time difference of 1years = 0.5 (sum of variance in first 6 months plus the variance in the second)
the variance for time difference of 3 months = 0.25
note 4x0.25=1 0.5x2=1 1x2=2
a change in time T gives a variance of T
variance is the STD^2
so the uncertainty grow in STD terms at the sqrt of Time
what is a wiener process
Wiener process is a particular type of Markov stochastic process
with a mean change of zero and a variance rate of 1.0 per year.
It has been used in physics to describe the motion of a particle that is subject to a large number of small molecular shocks and is sometimes to as Brownian motion
(In most sources, the Brownian Motion and the Wienner Process are the same things. However, in some sources the Wiener process is the standard Brownian motion while a general Brownian Motion is of a form αW(t) + β. A Brownian Motion or Wienner process, is both a Markov process and a martingale.)
what are the 2 properties a variable must have to be considered a wiener process














answer is B






answer is D




C.
applicaiton on thios in 14.6

D.
this is example from 14.7

B







