Week 4 Flashcards

(480 cards)

1
Q

Why study DNA?

A

1) Essential for inheritance
2) Codes for proteins
3) Instructions for life processes

How well did you know this?
1
Not at all
2
3
4
5
Perfectly
2
Q

Why is DNA important?

A

1) Study genetics causes of disease
2) Design of gene therapies
3) Develop drugs
4) Forensic science
5) Genomic sequencing
6) Detect pathogens
7) Determine paternity

How well did you know this?
1
Not at all
2
3
4
5
Perfectly
3
Q

Human genome divided into:
# DNA molecules
# autosomes
# sex chromosomes

A

46 DNA molecules
22 autosomal pairs
2 sex chromosomes

How well did you know this?
1
Not at all
2
3
4
5
Perfectly
4
Q

DNA contains how many bases?

A

6 billion

How well did you know this?
1
Not at all
2
3
4
5
Perfectly
5
Q

DNA contains how many base pairs?

A

3 billion

How well did you know this?
1
Not at all
2
3
4
5
Perfectly
6
Q

How long would DNA be if unwound?

A

2 m long

How well did you know this?
1
Not at all
2
3
4
5
Perfectly
7
Q

Composition of histones

A

2 pairs H2A, H2B, H3, and H4
H1 resides outside as lock for DNA coiling around histone complex

How well did you know this?
1
Not at all
2
3
4
5
Perfectly
8
Q

Nucleosome

A

Histone complex with DNA wrapped 2.5 times around it; no H1 protein attached at this point

How well did you know this?
1
Not at all
2
3
4
5
Perfectly
9
Q

Polynucleosome

A

Histone complex with DNA wrapped 2.5 times around it; H1 protein attached and is tightly compacted on itself

How well did you know this?
1
Not at all
2
3
4
5
Perfectly
10
Q

H1 histone protein

A

Linker protein
Binds to entry/exit site of DNA
Needed to stabilize higher order chromatin structures

How well did you know this?
1
Not at all
2
3
4
5
Perfectly
11
Q

Chromatin

A

Collection of nucleosomes put together in a tight condensed area

How well did you know this?
1
Not at all
2
3
4
5
Perfectly
12
Q

Supercoiling of DNA

A

Allows DNA to compact even tighter around itself

How well did you know this?
1
Not at all
2
3
4
5
Perfectly
13
Q

Charge on histones

A

Positive

How well did you know this?
1
Not at all
2
3
4
5
Perfectly
14
Q

Charge on DNA

A

Negative due to phosphate groups

How well did you know this?
1
Not at all
2
3
4
5
Perfectly
15
Q

Euchromatin

A

Relaxed DNA
Transcriptionally active
Exposed to nuclease digestion

How well did you know this?
1
Not at all
2
3
4
5
Perfectly
16
Q

Heterochromatin

A

Condensed DNA
Transcriptionally LESS active
Protected from nuclease digestion

How well did you know this?
1
Not at all
2
3
4
5
Perfectly
17
Q

Role of topoisomerase

A

Change degree of supercoiling in DNA; essentially relaxes the supercoiling of DNA

How well did you know this?
1
Not at all
2
3
4
5
Perfectly
18
Q

Acetylation of Histones - does what?

A

Causes histones to become more neutral; will becomes looser and allow DNA to unwind
Transcription allowed to increase

How well did you know this?
1
Not at all
2
3
4
5
Perfectly
19
Q

Phosphorylation of Histones - does what?

A

Add negative charge
Will cause greater amount of steric hindrance between molecules - loosening DNA from histones
Transcription allowed to increase

How well did you know this?
1
Not at all
2
3
4
5
Perfectly
20
Q

Methylation of Cytosine - does what?

A

Compacts DNA even further than it was
Decreased transcription

How well did you know this?
1
Not at all
2
3
4
5
Perfectly
21
Q

What occurs during G1 phase of cell cycle

A

Protein synthesis increased

How well did you know this?
1
Not at all
2
3
4
5
Perfectly
22
Q

Which period of the cell cycle are cells more responsive to mitogenic GF’s and TGF-Beta?

A

G1

How well did you know this?
1
Not at all
2
3
4
5
Perfectly
23
Q

What percentage of genome is used to encode proteins?

A

1.5%

How well did you know this?
1
Not at all
2
3
4
5
Perfectly
24
Q

What percentage of genome is comprised of introns?

A

26%

How well did you know this?
1
Not at all
2
3
4
5
Perfectly
25
What percentage of genome is Long Interspersed Elements (LINE)?
20%
26
Which LINE is most abundant (13% of genome)?
L1
27
What percentage of genome is Short Interspersed Elements (SINE)?
13%
28
Which SINE is the most abundant (7% of genome)?
Alu
29
What percentage of genome is comprised of transposons?
11%
30
What are transposons?
Moveable genes Usually viral in origin
31
What percentage of genome is considered heterochromatin?
8%
32
What would be considered heterochromatin?
Centromeres and telomeres
33
What is a telomere?
Region of repetative nucleotide sequences associated with specialized proteins at end of chromosomes
34
What is a centrosome?
Protein that links pair of sister chromatids to one another during cell division
35
Types of issues with transposable regions of DNA?
1) Increase/decrease spacing between regulatory units = change expression 2) Insert/delete coding region for proteins = alter protein functions 3) Alter gene expression = formation of pseudogenes
36
What are pseudogenes?
Nonfunctional gene copies Non-expressed copies of genes
37
Hemophilia - caused by?
Caused by L1 insertion into clotting factor VIII gene
38
Adenomatous Polyposis Coli - causes colon cancer via?
Insertion of L1 into APC region of cancerous cells; not seen in healthy cells
39
Positives for Repetitive DNA
1) Promotion of gene repair = use copy after ds Break 2) Gene duplication = misalignment at single repeat 3) Gene deletion = misalignment of repeats
40
Centromeres
Considered satellite DNA Monomeric sequences = 50-70% homology Confer chromosome specificity
41
What are minisatellites?
Considered variable number of tandem repeats (VNTR) Shorter regions of repeating elements (1-5kb) >9 nucleotide length
42
What are microsatellites?
- Considered variable number of tandem repeats (VNTR) - Referred to as short tandem repeats (STR) or simple sequence repeats (SSR) - 1-8 kb long
43
Central Dogma of Molecular Biology
DNA ---> RNA ---> proteins
44
Name and classification
Adenine Purine
45
Name and classification
Guanine Purine
46
Name and classification
Cytosine Pyrimadine
47
Name and classification
Thymine Pyrimidine in DNA
48
Name and classification
Uracil Pyrimidine in RNA
49
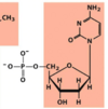
Name Symbol Nucleoside
Adenylate (Adenosine-5'-monophosphate) AMP Adenosine
50
Name Symbol Nucleoside
Guanylate (Guanosine-5'-monophosphate) GMP Guanosine
51
Name Symbol Nucleoside
Uridylate (Uridine-5'-monophosphate) UMP Uridine
52
Name Symbol Nucleoside
Cytidylate (cytidine-5'-monophosphate) CMP Cytidine
53
Name Symbol Nucleoside
Deoxyadenylate (deoxyadenosine-5'-monophoaphate) dA, dAMP Deoxyadenosine
54
Name Symbol Nucleoside
Deoxyguanylate (Deoxyguanosine-5'-monophoaphate) dG, dGMP Deoxyguanosine
55
Name Symbol Nucleoside
Deoxythymidylate (deoxythymidine-5'-monophoaphate) dT, dTMP Deoxythymidine
56
Name Symbol Nucleoside
Deoxycytidylate (Deoxycytidine-5'-monophoaphate) dC, dCMP Deoxycytidine
57
Backbone of DNA formed by
Phosphodiester bond Covalent bond
58
Which ends are involved in DNA backbone and what product is there
5' phosphate group 3' hydroxyl group
59
Bonding between DNA strands
Hydrogen bonding
60
Chargaff's Rule
(A+T)+(G+C) = 100%
61
Structure of DNA
double stranded Anti-parallel to one another Strands will complement one another
62
bonds connecting A ---> T
2 Hydrogen bonds
63
bonds connecting G ---> C
3 hydrogen bonds
64
Which nucleotide bases are easiest to break apart?
A to T Only double bonds present
65
What forms backbone of DNA
Sugars (ribose/Deoxyribose) + phosphates
66
What part of DNA faces out?
Hydrophilic phosphodeoxyribose backbones
67
What faces towards the interior of helix?
Nucleotide bases
68
How many bases per helical turn?
10.5 36 angstroms
69
Function of major/minor grooves in DNA
Provide binding sites for regulatory proteins
70
Importance of Cisplatin
Anti-cancer drug Will intercollate between DNA strands Prevents DNA polymerase from continuing with replication Results in apoptotic death
71
Distance between nucleotides of backbone?
3.4 angstroms PER base
72
Various forms of DNA and where seen?
B-form: normal presentation; most stable A-form: dehydrated B form; protection in bacteria Z-form: L handed DNA; GC rich sequences; play role in gene regulation
73
DNA synthesized by?
DNA Polymerase
74
DNA synthesis - strand is read in which direction?
5' to 3'
75
With addition of nucleotide to DNA backbone, what molecule is released?
Pyrophosphate Pi-Pi
76
DNA polymerase requires what to begin synthesis of new DNA strand
DNA primer and template primers
77
Primer DNA provides?
Terminus 3' -OH group
78
Template DNA primers provide?
Sequence specifying complement sequence for DNA chain
79
Importance of Azidothymidine Zidovudine?
Antiviral medication for HIV Incorporates itself into viral DNA Unable to continue replication due to no terminal -OH group on 3' end
80
Why is DNA replication considered semiconservative?
One parent strand and one daughter strand
81
DNA is ALWAYS synthesized in what direction
5' to 3'
82
Which strand of DNA will continuously form new DNA strand?
Leading strand
83
Which strand of DNA will NOT continuously form a new strand?
Lagging
84
Leading strand is always synthesized in what direction
Towards the replication fork
85
Lagging strand is always synthesized in what direction?
Away from the replication fork
86
Short pieces of newly replicated DNA on lagging strand
Okazaki fragments
87
What splices Okazaki fragments together on lagging strand?
DNA Ligase
88
How does DNA proofread itself during replication?
Constantly scanning termini of nascent DNA chains
89
How does DNA go about correcting errors in nascent DNA strands
3'-5' exonuclease activity of DNA Polymerase
90
91
92
Which part of cell cycle checks whether cell is ready for replication?
G1 checkpoint
93
What are some factors that cells might assess for at various checkpoints?
Size Nutrients Molecular signals DNA integrity?
94
Where are the normal replication checkpoints in cell cycle?
G1 G2 Metaphase
95
Function of Retinoblastoma protein
Binds to E2F transcription factor Prevents transcription of proteins - prevents cell cycle progression
96
What releases pRb from E2f?
Being phosphorylated by a kinase
97
When E2F released from pRb, what happens?
E2F will bind to DNA and begin transcription of proteins Begins progression of cell through cell cycle
98
What does E2F transcribe for?
Cyclin E and DNA Polymerase
99
DNA replication begins where?
Origin of replication
100
What recognizes Origin of Replication?
Origin of replication binding proteins
101
of origins of replication in eukaryotes
Multiple
102
of origins of replication in prokaryotes
One
103
Initiator proteins
ORC Cdc6 Cdt1
104
What do initiator proteins do?
Recruit replicative helicase to bind to DNA
105
What forms replicative helicase in eukaryotes?
Cdc45 Mcm2-Mcm7 GINS complex
106
CDC6 and Cdk2 - Importance in terms of regulation during G1 and S phases
G1: Cdk2 activity low, CDC6 accumulates; pre-RC forms but not active S: Cdk2 activity high, CDC6 inactive; pre-RC is activated
107
Why is regulation of CDC6 and Cdk2 important?
Ensures DNA replication happens only ONCE per cycle
108
ORC proteins function?
Recognize origin of replication site
109
Topoisomerase function?
Relieves supercoils from DNA ahead of replication fork
110
Mcm function?
DNA Helicase that unwinds parental duplex
111
Cdc6, Cdt1 function?
Unwinds DNA Loads Replicative helicase onto DNA
112
RPA/SSB functions?
Maintains DNA in single stranded state (single stranded binding proteins)
113
RFC function?
Subunits of DNA holoenzyme; load clamp onto DNA
114
DNA Polymerase Delta/epsilon functions?
Primary replication enzymes; Synthesize entire leading strand and Okazaki fragments Is able to proofread DNA strands
115
PCNA function?
Ring shaped subunit of DNA Polymerase holoenzyme Clamps replicating polymerase to DNA Works in conjunction with DNA Polymerase III (bacteria) and Pol Delta/Epsilon in Eukaryotes
116
Primase function?
Synthesize RNA primers
117
DNA Polymerase alpha function?
Synthesize short DNA oligonuclotides as PART OF RNA-DNA primer
118
DNA Ligase function?
Seals Okazaki fragments to one another; forms continuous strand of lagging strand
119
FEN-1/RNAase H functions?
Removes RNA primers
120
Possible to attach RNA primer to end of lagging strand?
No
121
Result of inability to attach RNA primers to end of lagging strand?
Lose a little DNA each time cell divides
122
Telomerase function?
Reverse transcriptase that add telomeric DNA to telomers - RNA-dependent DNA polymerase - Prevents shortening of DNA strands
123
Function of telomers?
Maintain genomic integrity Prevent nucleases from "attacking" chromosomes
124
Successive shortening of telomers causes?
Chromosomal instability
125
Chromosomal instability can lead to?
Cell senescence or apoptosis
126
Why is telomerase important for cancer cells?
Maintains continuous telomere length; cell never realizes it needs to die because length is consistently maintained
127
Classifications of different studies in research?
Descriptive Analytical
128
What is descriptive research?
Does not seek to quantify relationship; only means to give an overview of what is happening in a population
129
What is analytical research?
Seeks to quantify the relationship between 2 things Seeks to understand effect of intervention/exposure on OUTCOME
130
Examples of Descriptive Studies?
Case Reports Case Series Qualitative Studies Surveys (cross sectional)
131
Subtypes of Analytical Studies?
Observational Experimental
132
Observational Studies
Researcher is passive with involvement
133
Experimental Studies
Researcher is more active with involvement
134
Describe a cross-sectional study?
- Refers to a specific point in time - Snapshot at THAT moment in time - Can determine Prevalence (# persons affected/# persons studied)
135
Describe a case-controlled study?
- Compares group of participants possessing condition of interest with similar group lacking condition - Used to study rare incidences or outcomes
136
Describe a cohort study?
- Observational study following a group of people over time - Examines how certain factors affect health outcomes - Used to determine incidence (New cases/population)
137
Describe Prospective cohort study?
- Observational study focused on following group of people over time - Will collect data on exposure to factor of interest - Outcomes are tracked to see if association between exposure and outcome - Looks FORWARD in time to see relationship between exposure and outcome
138
Describe Retrospective cohort study?
- Observational study focusing on individuals with exposure to disease/risk factor - Analyze health outcomes over time to form connections/assess risk of outcome with given exposure - Look BACK in time to examine relationship between exposure in past and present outcomes
139
Advantages/Disadvantages of Cross-sectional study?
Advantage: Quick, easy Disadvantage: No cause and effect
140
Advantages/Disadvantages of Case-controlled study?
Advantage: Good for rare disease; able to generate hypothesis Disadvantage: Establish correlation, not CAUSATION; Recall bias
141
Advantages/Disadvantages of Cohort study?
Advantage: Establish cause and effect Disadvantage: LONG Follow Up; Loss to follow up; Expensive
142
Describe Experimental Study
Interventions used Investigator controlled maneuvers
143
Types of Experimental Studies?
Randomized trials Non-randomized trials Quasi-experimental
144
What measure of association corresponds to Cohort studies?
Relative risk
145
What measure of association corresponds to Case-Control studies?
Odds ratio
146
What measure of association corresponds to Cross-sectional studies?
Odds ratio Prevalence ratio
147
Odds ratio
Odd's of disease in exposed/odds of disease in UNexposed - Odds outcome occurs with exposure compared to odds of outcome occurring without exposure
148
Relative Risk
Risk of disease in exposed/risk of disease in UNexposed
149
When does odd ratio = relative risk?
If disease is rare
150
Which types of studies give the strongest evidence?
Meta-analyses and Systematic Reviews
151
Which types of studies give the weakest evidence?
Cohort Studies Case controlled studies Case report
152
Which types of studies give medium strength for evidence?
Randomized control studies Quasi-experimental
153
Advantages of Medical Documentation?
1) Continuity of Care 2) Allows provider to provide thinking process/management plan clear to all 3) Longitudinal pic of overall health of person
154
80% of diagnoses made on _______ alone.
Patient history
155
Why is H&P important?
1) Convey concise/detailed info about patient hx and exam findings AT TIME 2) Outlines plan to address issues 3) Way of communication with providers 4) Medico-legal documentation
156
Part of Patient History?
CC HPI PMH FM SH ROS
157
Parts of Patient Physical Assessment?
1) Current and thorough head-to-toe exam 2) Can also include mental status exam 3) KNOWN and relevant labs/imaging results
158
Parts of Assessment?
1) ID/localize abnormal findings 2) Interpretation of findings 3) Make a hypothesis about issue 4) Formulate Differential Dx 5) Generate problem list with CC and active issues at top
159
Parts of Plan?
Inclusion of evaluation and/or management of problems
160
SOAP notes
Subjective Objective Assessment Plan
161
Use of the SOAP note
Organizing patient information Daily updates Focus on "active" problems Focused history and PE
162
S in SOAP note: Meaning Info in section
Subjective What patient tells you Hx of symptoms/CC/HPI RELEVANT PMH, FH, SH, and ROS
163
O in SOAP note: Meaning Info in section
Objective What YOU observe (hear, smell, feel, see) PE findings/mental status changes Available XR/Lab results
164
A in SOAP note: Meaning Info in section
Assessment What YOU think is going on Problem list/differential dx
165
P in SOAP note: Meaning Info in section
Plan What YOU are going to do Work up and/or management plan
166
How long are medical records maintained
Depends on state law - usually no longer than 10 years.
167
Allowed to refuse to give patient records to patient
No - not for any reason
168
Items of info to share with patients
Medication List Vital Signs Trends related to chronic illness Patient education material
169
What to include in patient notes?
Remain neutral and professional Avoid hostile and derogatory statements
170
Allowed to change medical record?
No - allowed to make an addendum
171
Ways to avoid errors
Do not use drug abbreviations Don't use hanging zeros Can use LEADING zeros
172
Issues with medical dictation?
Speech recognition STILL makes mistakes - go back and proofread notes before completing them
173
Issues with telemedicine?
Social distancing Isolating for provider Patients feel less connected to provider
174
Document phone calls?
Yes - need to be recorded for legal and medical reasons
175
Define: Exogenous sources of genetic damage
Influences from outside environment (UV light, radiation, carcinogens)
176
Define: endogenous sources of genetic damage
Unintended consequences of metabolic processes (Oxidation, nitrosylation, hydrolysis)
177
Why is UV light so potent and exogenous source of damage to DNA?
- Will form covalent bonds between pyrimidines bases - Form pyrimidine dimers - Distort DNA structure - unable to replicate correctly
178
Define: Substitution mutations
Change in ONE DNA base
179
CaDefine: Transitions
- Change in base pairs - Purine replaced with another purine - Pyrimidine replaced with another pyrimidine
180
Define: Transversions
- Change in base pairs - Purine replaced with pyrimidine - Pyrimidine replaced with purine
181
Define: Indels
Insertion/deletion of SINGLE NUCLEOTIDE PAIR!
182
Define: Silent mutations
- Change in codon that doesn't affect final product - Usually occurs in the Wobble site of codon
183
Define: Missense mutations
- Mutation resulting different AA inserted - Can change whole property of protein
184
Define: Nonsense mutations
- Premature stop codon inserted in wrong position
185
Define: Frameshift mutations
- Due to 1-2 base deletions/additions - Changes AA sequence - Result in shortened proteins
186
Define: Splice Site mutations
- Formation/deletion of splice site for introns/exons - Acceptor site (3' end) = scan for next sequence; exon removed - Donor site (5' end) = scan for next sequence; introns remain
187
Define: Loss of function
Proteins that are quickly degraded or Nonfunctional proteins
188
Define: Gain of function mutations
Protein bind to something it should not
189
Define: Genomic instability
Increased propensity for genetic mutations
190
Why is Methyl-C mutation hot spot?
- Methylated Cytosine tells cells which is parent strand and which is newly synthesized strand - Needed for repair mechanism to function properly
191
Germline mutations: Parental gametes
1) Passed to offspring 2) Can result in disease 3) Genetically inherited diseases 4) Every cell of individual contains mutation
192
Germline mutations Embryo
NA
193
Somatic mutations: Parental gametes
N/A
194
Somatic mutations: Embryo
Cannot be passed onto offspring
195
Somatic mutations: Organism
1) Occur in single cell 2) Produce clones with mutation 3) Result in phenotypically mutated region of body 4) Frequently involve CA
196
Germline mutations: Organism
Mutation present throughout organism
197
Germline mutations: Offspring gametes
1) Result in inherited disease 2) Present in 1/2 gametes produced 3) Ex: NF-1 gene
198
Somatic mutations: Offspring gametes
1) Limited to somatic cells 2) Not present in gametes 3) Not genetically inherited 4) Ex: McCune-Albright Syndrome
199
Father Effect concerning mutations
- Higher likeihood for mutation due to number of times chromosomes divide - Begin around 15 yrs - chromosomes will divide around 2,000,000 times by 50 yo
200
Mother effect concerning mutations
201
Direct Repair of DNA
- Repair of DNA without breaking of phosphodiester bonds - Addresses spontaneous methylation - Ex: O6-methylguanine-methyltransferase
202
Single-strand Repair of DNA
- Lesion on one strand of DNA helix - Will use complementary strand as template for repair
203
Base Excision Repair of DNA
- Lesions affecting single nucleotide - Introduction of uracil in DNA chain, deamination (alter base) and depurination (lose base) - Caused by endogenous sources
204
Nucleotide Excision Repair of DNA
- DNA lesion involving more then 1 nucleotide - Effect of foreign molecule - Removes/replaces larger sections of nucleotides to fix lesions -Cleaved by endonucleases
205
Post-Replication Mismatch Repair of DNA
- Incorrect base inserted into DNA strand and DNA polymerase didn't catch it - Mut proteins recruit endonucleases to remove/replace section with mismatch nucleotide
206
Homologous Recombination
- Use homologous chromosomes as template to repair severed strands - Occur during S and G2 phases of cell cycle
207
Nonhomologous End Joining
- Special ligase fuses ends of 2 DNA fragments - Will connect any 2 ends of ANY 2 severed strands it finds - HIGH ERROR prone - Results in translocations
208
Types of RNA: mRNA
Messenger RNA Proteins
209
Types of RNA: tRNA
Transfer RNA Used in protein translation
210
Types of RNA: rRNA
Ribosomal RNA Forms scaffold of Ribosome
211
Types of RNA: snRNA
Small nuclear RNA Used in ribonucleoproteins (spliceosomes and telomerase)
212
Types of RNA: hnRNA
Heterogeneous nuclear RNA pre-RNA - single strand of immature mRNA
213
Types of RNA: miRNA
MicroRNA (ssRNA) Fragments of nascent RNA's Formed via spliceosomes Inhibitors of translation
214
Types of RNA: siRNA
Silent Interfering RNA Viral origins (dsRNA) Cleaves mRNA Will down regulated gene expression
215
Types of RNA Polymerase: RNA Polymerase I
rRNA in nucleolus
216
Types of RNA Polymerase: RNA Polymerase II
mRNA in nucleus
217
Types of RNA Polymerase: RNA Polymerase III
tRNA and other RNA's in nucleus
218
Types of epigenetic changes to DNA
Methylation of histones. cytosine Acetylation/Phosphorylation of histones
219
With epigenetic changes, what happens to DNA
Methylation - condenses Acetylation/Phosphorylation: loosening of nucleosomes
220
When nucleosomes relax, what can bind to DNA?
DNA binding proteins
221
DNA binding proteins are result of
End products of 2nd messenger systems
222
Example of DNA binding proteins
E2F
223
Protein bound to E2F to keep in inhibited?
Retinoblastoma protein
224
What causes pRB to release from E2F?
Phosphorylation via kinases
225
Location of enhancer region for DNA
Upstream of binding site - towards 5' end
226
Location of repressor/silencing region
Just upstream of binding site
227
TATA box
Promotor region for binding
228
Location of primary transcript to be read?
Downstream of promotor region - towards 3'
229
Types of controls enhancers/silences have?
Tissue specific Time specific Organ specific Cell type specific
230
Role of Transcription enhancers
Enhance transcription of gene set Force nucleosome rearrangement to allow promotor region to be accessible
231
Role of Transcription silencers/repressors?
Prevent transcription
232
Mechanisms by which transcription repressors block transcription?
1) Obstruction of promotor site 2) Force nucleosomal rearrangement to prevent RNA Pol from binding 3) Bind protein that obstructs promotor either directly or indirectly
233
If E2F is bound to DP1 - what occurs?
Looping of DNA
234
Looping of DNA allows for what?
Allow enhancer element further down to interact with transcription-initiator complex
235
What proteins are regulated by E2f being bound to DP1?
CDC6 MCM DNA Pol delta All seen in late G1
236
What is DP1? What does it form with E2f? Stimulates? Represses?
1) TFDP1 2) Will form heterodimer with E2f 3) Stimulated E2F-dependent transcription 3) Represses cell-cycle dependent genes in quiescent cells 4) Inevitably activates G2/M genes
237
What is TFIID?
Complex of TATA Binding protein abd TATA box protein associate factors
238
Direction DNA read?
Read from coding strand in 5' to 3' direction
239
DNA equivalent to RNA produced?
Coding strand (exchange T for U) All else remains the same
240
Template Strand Bound by? Used for?
Bound by RNA Polymerase Used for base pairing nucleotides during transcription
241
RNA polymerase requires 3 things:
1) Nucleosome moved out of way 2) Transcription regulators to bind to DNA 3) Transcription factors bind regulators and DNA AT start site
242
All transcripts will have 3 regions?
5' UTR 3' UTR Coding region
243
TATA Box:
Sequence found in core promotor region Located 25-35 bp upstream from start site
244
CCAAT box
- GGCCAATCT - Consensus sequence upstream 60-100 bp to initial transcription site - Signals binding site for RNA transcription factors
245
Pribnow box
Bacterial equivalent of TATA box Shorter sequence
246
Proteins that initially binds to RNA Polymerase II promotors?
TBP and TFIIA
247
Subsequent proteins that bind to RNA Polymerase II binding site
TFIIB w/ Polymerase II TFIIE TFIIH
248
RNA Polymerase II Binding proteins form what type of complex with one another
Closed - not activated yet
249
In the RNA Polymerase II Binding protein complex, where is DNA unwound?
The Inr region
250
What enzyme/activity unwinds DNA at the INR region of the RNA Polymerase II Binding protein complex?
Helicase
251
Which RNA Polymerase II Binding protein has the activity of helicase?
TFIIH/THIIE (Allows RNA Pol II to begin reading DNA)
252
Once DNA unwound at Inr region, what does this form?
Open complex
253
What end of Pol II protein is phosphorylated by THIIH?
Carboxyl-terminal end (CTD)
254
What does phosphorylating Pol II protein do for transcription?
Allows polymerase to escape promotor and begin transcription
255
What comprises the Carboxy Terminal Domain of RNA Pol II?
52 repeats of Tyr-Ser-Pro-Thr-Ser-Pro-Ser
256
What is the Carboxy Terminal Domain involved in?
Initiation of transcription 5' Capping of transcript Attachment of spliceosome for splicing
257
Which residue in Carboxy Terminal Domain get phosphorylated to being capping of transcript and bring factors to form Poly A tail?
Ser5
258
What phosphorylated Ser5 in the Carboxy Terminal Domain?
THIIH
259
What Serine is phosphorylated to actually ACTIVATE elongation of transcript?
Ser2
260
Termination of elongation occurs via?
Dephosphorylation of RNA Pol II
261
Initial activation of RNA Polymerase II occurs where? Final activation of RNA Polymerase II occurs where?
Serine 5 residue Serine 2 residue
262
RNA Pol II will only work with?
RNA nucleotides
263
RNA Nucleotides
ATP, GTP, CTP, UTP
264
First nucleotide of RNA transcript placed where in relation to promotor/TATA box?
Just 3'
265
After first few nucleotides placed, what replaces initial transcription factors?
Other transcription factors that promote elongation
266
What is the D-loop structure?
Where 2 stands of dsDNA molecule are seperated for a stretch and are held apart by a third strand.
267
Initiation stage of DNA replication completes when?
RNA is greater that 10 bp long
268
Hallmark sign of end of initiation
Capping enzyme binding to 5' end and capping 5' end
269
Introns
- Sequences of RNA removed to make mature RNA - Non-coding regions of RNA
270
Exons
- Sequences of RNA retained in mature mRNA - Coding regions of RNA
271
Structure that removed introns from immature RNA?
Spliceosomes
272
Spliceosome
- Large ribonucleoprotein complex - Seen in nucleus of eukaryotic cells
273
Modifications of RNA occur when?
As transcript is made
274
Modification of tRNA and rRNA
Fold into mature 3D form as soon as RNA released from D loop
275
Polycistronic mRNA
mRNA that encodes for multiple proteins from a SINGLE gene
276
Modifications of mRNA
5' capping - usually GTP 3' Poly A tail Removal of introns via spliceosomes
277
Modifications made to tRNA
Folded Spliced via spliceosomes 3' CCA ending added
278
Modification of rRNA
Folded Spliced via spliceosomes
279
Formation of 5' Cap on mRNA
- 7-methyl-guanosine - Connected to RNA via 5'-to-5' phosphate bridge
280
Functions of 5' Capping?
Protect 5' end of RNA ID RNA as mRNA
281
Splicing of mRNA
- Intron sequence beginning with 5'-GU and 3'-AG sequence with A-branch point in sequence between
282
Donor splice site
5' end of mRNA
283
Acceptor site
3' end of mRNA
284
When does splicing occur?
At same time as transcription or immediately thereafter
285
What molecule attaches to 5' donor site and 3' acceptor site?
snRNP (spliceosome)
286
Intro binding proteins act in what way for splicing?
Bringing 3' end of one exon close to 5' end of another further down mRNA
287
How does splicing occur?
- 5' end of intron excised - attached to Adenosine near 3' end of intron - Loop is formed at GpA area - 3' end of intron excised while exons ligated together
288
Functions of snRNP's
1) Recognize splice site 2) Catalyze lariat site 3) Fuse exons together
289
Estimation of how many diseases are correlated to splicing errors?
1/3 of all disease
290
Calcitonin alternative processing
- Calcitonin gene related proteins formed in thyroid; not formed in brain
291
Regulation of splicing
RNA binding proteins and snRNA/spliceosomes
292
Alternative splicing forms?
Different isoforms of RNA
293
Exon skipping occurs due to ?
- 5' end of intron spliced downstream of normal intron - Removes exon between them
294
Intron retention occurs due to?
- Splice sites of intron repressed/lost due to mutation - Retain intron in mature RNA
295
Truncated proteins formed by?
Change in reading frame of RNA
296
Alternate splicing results in?
Alternate protein sequence/function
297
Physiological importance of alternate splicing
BRCA1 gene in response to DNA damage
298
Point mutations can lead to?
Abnormal splice site
299
RNA structure
- Can form double helices within ITSELF - A form
300
RNases
Enzymes with specificity acting on RNA
301
Maturation of RNA requires?
RNases
302
tRNA control of RNA activity: 3' end 5' end
- 3' end modified by adding CCA; recognizable for aminoacyl-tRNA synthase - 3' end protected by addition of AA to 3' -OH group - 5' end protected by base pairing
303
mRNA control of RNA activity: 3' end 5' end
- 5' end capped with 7-methyl-guanosine - 3' end with Poly A tail - Poly A Binding Proteins (PABP) protect 3' end - PABP required for transport OUT of nucleus
304
Function of Aminoacyl-tRNA synthetase?
Connects correct AA to tRNA via binding pocket hydrogen bonding at 3' end of tRNA (Uses ATP to charge AA to tRNA at 3' end)
305
5' end of tRNA trimmed by ______ for what purpose?
RNases Has single 5' phosphate left
306
3' end of tRNA trimmed by ______ for what purpose?
- tRNAse Z - Non-coded CCA added via nucleotidyl-transferase
307
Middle loop of tRNA
Anti-codon loop Where complementary sequence is encoded
308
Start codon
AUG
309
Stop Codons
UAA UAG UGA
310
How many codons encode for AA's
64
311
How many AA's are produced?
20
312
Redundant nature of genome
- Multiple codons coding for ONE AA - Allows for wiggle room at Wobble site (3rd codon)
313
Point mutation causes?
Deamination or methylation of DNA bases
314
Which DNA strand is match for RNA strand when translated?
Coding strand of DNA
315
What nucleotide is replaced in RNA from DNA
Thymine become Uracil in RNA
316
Coding sequence
Replace every T with a U Everything else remains the same
317
Reading template sequence?
Form reverse compliment in RNA form 5' end is on right!
318
Translation of mRNA
- mRNA MUST be matured - Must exit nucleus - Ribosome properly loaded to find AUG codon - Elongation using charged tRNA's bound to E2F - Termination at stop codon
319
How is mRNA removed from nucleus?
Nuclear Export Factors and TF's
320
PABP functions?
1) bind 3' poly a tail 2) bind TF's to 5' cap 3) Cause mRNA to circularize to exit nucleus
321
Pre-initiation of translation beings where?
Nucleus
322
Initiation factor that binds 5' cap of mRNA?
eIF4F
323
eIF4F role?
Promote eukaryotic translation initiation
324
Composition of eIF4F?
- Heterotrimeric protein complex - Consists of eIF4A, eIF4G, eIF4E
325
Function of eIF4A?
Helicase activity
326
Function of eIF4G?
Scaffold protein between eIF4F complex and PABP
327
Function of eIF4E?
Cap-binding protein
328
Which ribosomal subunit will eIF4F bind to?
40S, smaller subunit
329
Key protein in control of polypeptide chain initiation?
Guanine nucleotide exchange factor (eIF-2B)
330
Role of eIF-2B?
- Exchanger of GTP for GDP - Forms ternary structure (eIF-2.GTP.Met.tRNAf)
331
Function of eIF-2.GTP.Met.tRNAf structure?
Initiator complex for translation
332
If stressors act on eIF2B complex?
- Phosphorylated alpha subunit of complex - Will inactivate complex
333
If eIF2B inactive, what happens to protein synthesis?
Decreases
334
IRES region
Internal Ribosome Entry Site
335
Pre-initiation looping of?
Poly A tail - PABP - eIF4G - eIF4A - eIF4E
336
If eIF4G lost/phosphorylated, what occurs?
Initiation of translation is aborted
337
Ways to lose eIF4G
1) Cleavage by Capsase 3 during apoptosis 2) Cleavage by viral proteases
338
Alternate path for eIF4G to be activated?
Using Internal Ribosome Entry Site (IRES)
339
Activation of IRES site?
Proteolyzed or modified eIF4G
340
Virus that can use IRES site to advantage?
Picornaviruses
341
Mechanism of action by picornaviruses on eIF4G?
Proteolyze eIF4G Virus has IRES that will override host mRNA
342
Steps for elongation: Step 1
Step 1: Met-tRNA at P site
343
Steps for elongation: Step 2
2nd tRNA binds at A site on 60S ribosomes Guided by eEF1
344
Steps for elongation: Step 3
Peptide bond formed between Met and other AA
345
Steps for elongation: Step 4
mRNA and tRNA complex shifted to R (frees up A site)
346
Steps for elongation: Step 5
- tRNA in E site ejected - Peptide bonds form between Chain and new AA in A site
347
Steps for elongation: Step 6
mRNA and tRNA complex shift again Free up A site
348
Function of eEF2 during elongation?
- Catalyze hydrolysis of GTP - Provides energy for translocations from A to P sites
349
Termination factors bind to ribosome at what time?
Encountering a stop codon (UAA, UGA, UAG)
350
Enzyme that attaches AA's on peptide chain
Peptidyl- transferase
351
Composition of peptidyl-transferase
Composed entirely of RNA
352
Ribozymes
Enzymes not made of proteins but ribonucleotides
353
Types of epigenetic regulation?
1) Methylation 2) Acetylation 3) Phosphorylation 4) Change in nucleosomal structure
354
Changes caused by methylation
- Addition of methyl group to DNA - Represses transcription
355
Changes caused by acetylation?
- Occurs at histones - Allows for increased availability of DNA - Increased transctiption
356
Changes caused by phosphorylation?
- Occurs at histones - Allows for increased availability of DNA - Increased transctiption
357
Changes caused by nucleosomal structure changes
- Modulate availability of DNA to TF's
358
Other means to control gene expression?
1) Temporal controls 2) Spatial controls 3) Environmental controls 4) Change in [metabolites] or [energy]
359
Decreased levels of ATP or GTP can lead to what for replication?
1) Cause delays/prevent cellular processes 1.1) Prevent replication due to not enough energy 1.2) Reduce transcription/translation - delay process, don't load components
360
Role of ATP/GTP in replication/transcription/translation?
Energy transfer and biosynthesis rxns
361
Main event of G1 checkpoint?
Phosphorylation of Cdc6
362
Why is phosphorylation of Cdc6 important for replication?
It is the start signal of replication initiation
363
Consequences of low ATP levels in replication?
tRNA not charges RNA polymerase hesitates when incorporation Adenine
364
Consequences of low GTP level in replication?
1) eIF2 unable to load 60S ribosome 2) eEF1 and eEF2 unable to load new aminoacyl-tRNA 3) eEF1 and eEF2 unable to translocate ribosomes
365
Enzymes which use ATP and GTP:
1) Histone acetylase 2) Topoisomerase 3) Helicases 4) FEN1 5) Ligases 6) Capping enzymes for mRNA 7) Spliceosomes
366
Enzymes which use ATP and GTP:
1) Nucleotidyltransferase 2) Aminoacyl-tRNA synthase 3) Translation initiation factors 4) eEF1 placing charged tRNA in A site 5) eEF2 in translation translocation 6) Translation Release factor
367
Function of FEN1
Maintain stable telomers
368
Function of nucleotidyl-transferase?
Part of repair pathway for single nucleotide base excision
369
During protein elongation, what is used as primary energy source?
GTP and ATP
370
Which parts of protein synthesis are GTP and ATP used for?
Translation initiation Elongation Termination
371
Tight control of protein synthesis highlights?
Importance of tight control over accurate processes and their energy usage (no energy wasted)
372
Crucial step in DNA replication
Assembly/activation of pre-Replication Complex (pre-RC)
373
What assembles pre-Replication complex?
CDK and DDK phosphorylation
374
During replication initiation: Cdc6 is phosphorylated by
CDK2
375
What happens to Cdc6 when phosphorylated?
Is removed from pre-RC
376
What takes places of Cdc6 in pre-RC?
Cdc45
377
With addition of Cdc45, the pre-RC becomes?
Initiation complex
378
PCNA
Proliferating cell nuclear antigen
379
What is responsible for loading PCNA on DNA?
Replication Factor C
380
Role of PCNA?
Sliding clamp holding polymerase on template strand
381
What is DDK?
Ser-Thr kinase Composed of Cdc7 and Dbf4 subunits
382
What phase of cell cycle is DDK most abundant at?
S phase
383
ORC2L and ORC6L
Origin recognition complex subunits Recognize origin of replication
384
Why does Cdc7 need to interact with Dbf4?
ATP binding Substrate recognition
385
Ways transcription is regulated
1) Availability of nucleotides 2) Availability of binding sites for TF's to bind to
386
Circadian regulation involves?
Glucocorticoid receptors Heat shock proteins 70 and 90 Protein FKBP4
387
Hormonal regulation
Direct binding of hormone 2nd messenger signal in cascade
388
Vitamin D: Binds to? Mode of action to DNA? Forms what?
Forms complex that binds to DNA Rearranges nucleosomes, allowing RNA Pol II to bind Transcribes Calbindin gene
389
Increased Calbindin expressions lead to?
Increased Ca2+ uptake in intestines
390
Adrenaline: Binds to? Mode of action to DNA? Forms what?
Binds to GPCR Triggers cascade effect - increased production of glycolytic enzymes Allows cell to rapidly produce energy
391
Transcript Maturation: RNA Pol II and its role
C-terminus is phosphorylated
392
What is RNA interference?
Post-translational gene silencing
393
How is RNA interference mediated?
Small RNA molecules called microRNA's (miRNA)
394
How do miRNA's function to silence?
Bind to complementary sequence on mRNAs Either degrades mRNA or inhibits translation
395
RNA binding protein that increases RNA stability
HuR
396
Increased RNA stability leads to
Increased translation
397
RNA binding protein that increases RNA stability as well as transports RNA out of nucleus?
PABP
398
RNA binding protein that decreases RNA stability?
RPB AUR1
399
Mechanism of action for RBP AUR1
Binds to AU-rich sequences in 3' UTR
400
Composition of miRNA
Smaller components of larger heteronuclear RNA
401
Pharmaceutical inhibitors of DNA replication
Acyclovir
402
Pharmaceutical inhibitors of Polymerases:
1) Cytarabine 2) Floxuridine 3) Fludarabine 4) Gemcitabine
403
Pharmaceutical inhibitors of dTTP production:
1) 5-Fluorouracil 2) 6-mercaptopurine 3) Capecitabine 4) Floxuridine 5) Fludarabine 6) Hydroxycarbamide 7) Methotrexate 8) Pemetrexed
404
Antibiotics that inhibit 30S small subunit
Aminoglycosides Will bind to 30S subunit; defective product produced
405
Antibiotics that inhibit tRNA:
Tetracyclines bind to 30S unit Inhibit bond formation of tRNA's = no protein synthesized
406
Antibiotics that inhibit 50S large subunit:
Chloramphenicol, Lincoamides, Macroglides Bind to 50S unit Inhibit peptide bond formation = no protein synthesized
407
Method of action for Polio virus in transcription/translation?
- Will proteolyze eIF4G = prevents reinitiation of host mRNA containing 5' caps - Gives viral RNA preferential treatment for translation
408
Method of action for ricin toxin in transcription/translation?
Breaks glycosidic bonds in ribosomal subunits Results in no protein synthesis because adenine removed from 28S rRNA (Overall peptidyl-transferase inactive)
409
Method of action for Diphtheria toxin in transcription/translation?
From Corynebacterium diphtheria A subunit of toxin processed by endosome and release in cytosol - Toxin will ADP-ribosylate E2F - E2F unable to catalyze GTP dependent translocations - Translation ceases because A site cannot move to P site and P site cannot move to E site in ribosomes
410
Define: alleles
different versions of a gene
411
Define: Gene
1) Sometimes can be transcription unit 2) Sometimes can be allele of chromosome
412
Define: Genotype
Genetic composition of a person
413
Define: Phenotype
Physical presentation of a persons genotype
414
Define: Homozygous
Two alleles are identical
415
Define: Heterzygous
Individual with 2 different alleles
416
Define: Hemizygous
Only ONE copy of an allele
417
Define: Haploinsufficiency
Only one copy of allele delivers insufficient amount of product
418
Define: Gamete
Either egg or sperm; sex cells
419
Define: Affected
Person WITH symptoms of disease
420
Define: Congenital
Symptoms present at birth
421
Define: Fitness
Number of offspring reaching reproductive age / average number for population
422
Define: Penetrance
Proportion of individuals with mutation exhibiting clinical symptoms among all individuals with such mutation
423
Define: Expressivity
Degree to which phenotype expressed by individuals with particular genotype
424
Define: Variable Expressivity
Difference in severity or age of onset for seemingly identical genotype Seen mostly in dominant diseases
425
Define: Pleiotrophy
One gene influences 2+ unrelated phenotypic traits One gene = mutliple phenotype results
426
Define: Allelic Hetergenicity
Different mutations at same location on allele lead to same/similar phenotypes
427
Define: Locus heterogenicity
Mutations at MULTIPLE gene locations capable of producing SAME phenotype Each mutation sufficient to cause phenotype
428
Define: Phenocopy
Variation in phenotype caused by environmental conditions Organisms phenotype matches phenotype determined by genetic factors *not a mutation
429
Define: Genetic marker
Gene or DNA sequence with known location on chromosome and can be used to ID individual/species
430
Define: Delayed age of onset
Presentation of disease delayed until later in life
431
Which inheritance pattern is more common than most?
Heterozygous
432
Which inheritance pattern is less common than most?
Homozygous
433
Most common inheritance pattern in marriages
Heterozygous marries homozygous
434
Fitness in dominant diseases:
reduced fitness --> expected lowered incidence in next gen
435
Autosomal Recessive
1) Only homozygous carriers demonstrate symptoms 2) Parents are usually heterzygous usually
436
Loss of function in what is typical in recessive inheritance?
Enzyme function Compensation/1/2 amount of product is good enough
437
Loss of function in what is typical in dominant inheritance?
Structural proteins 1/2 amount of product NOT enough Leads to haploinsufficiency
438
Gain of function occurs in which inheritance pattern?
Dominant inheritance
439
In a pedigree - what does proband refer to?
First family member who brought family to attention of person taking family history
440
What is indicated by red circle?
Person is desceased
441
What is indicated by red square?
Monozygotic twins
442
What is indicated by red circle?
Proband individual
443
What is indicated by red circle?
Dizygotic twins
444
Define: Autosomal dominant inheritance
Phenotype shows presence of allele Also in Heterozygotes Gene is on Autosome
445
Define: Autosomal recessive inheritance
Phenotype ONLY present when two disease causing alleles present
446
Recognizing AR:
1) Do not normally have affected parent 2) 25% of time affected in siblings 3) Parents often distantly related in some way
447
Recognizing AD:
1) All affected have at LEAST one affected parent 2) Average is 50/50 for siblings
448
Autosomal inheritance
Equal number males inherit as females
449
X-linked recessive inheritance
Phenotype is no other allele present Hemizygous in males Rarer in females
450
X-linked dominant inheritance
Always will show phenotype
451
Y-linked inheritance
Affects only males Male fertility
452
Recognizing XR:
More males will be affected than females Daughters will be CARRIERS only NEVER WILL SEE Father to Son transmission Affect uncle-nephews
453
Recognizing XD:
More females than males affected 1/2 sons affected & 1/2 daughters affected NEVER WILL SEE Father to Son transmission
454
Recognizing Y-linked:
ONLY WILL EVER BE FATHER TO SON
455
If mother is heterozygous: XR? XD?
XR: 1/2 sons affected; 1/2 daughters carriers XD: 1/2 sons affected; 1/2 daughters affected as well
456
If father is affected: XR? XD?
XR: all daughters carriers; sons not affected XD: ALL daughters affected; sons are carriers
457
Define: sex-limited inheritance
Genes on autosomes Dominant OR recessive Influence traits expressed only in ONE of the sexes *Diseases linked to either male or females - only expressed in ONE sex (Uterine cancers in females, prostate cancers in males)
458
Non-penetrance of disease
Predisposing genotype but does NOT show symptoms Someone who has the disease but does NOT show it
459
Mitochondrial Inheritance
From Female Carrier to ALL offspring
460
Allelic Heterogeneity: Gene Variation Phenotype
1) Only ONE location causes issue; different alleles at ONE location 2) Two of more alleles 3) Same or different Ex: CFTR for CF
461
Locus Heterogeneity: Gene Variation Phenotype
1) Two or more genes cause issue 2) At least ONE bad allele per gene 3) Same Ex: Xeroderma Pigmentosum/Congenital Deafness
462
Define: Codominance Example of:
Refers to both allelic copies being expressed at the same time Neither is recessive or masks the other Ex: AB blood types
463
Define: Incomplete penetrance Example of:
Someone has diseased allele but does NOT express the trait of that diseased allele - have a higher likelihood to DEVELOP that trait Ex: BRC1 and BRCA2
464
Define: Pleiotrophy Example of:
One gene affecting MULTIPLE phenotypic traits Ex: PKU - multiple symptoms OF disease
465
Define: Genetic Anticipation Example of:
Process by which there is INCREASED severity and DECREASED age of onset of disease in subsequent generations Ex: Huntington's Disease (will get disease at younger and younger ages with worsening severity)
466
Define: Locus heterogeneity Example of:
Process by which DIFFERENT LOCI/mutations cause the SAME PHENOTYPE (In theory - different disease processes cause similar presentation of ONE of the disease processes) Ex: Marfanoid habitus can be caused be Homocystinuria, Marfan Syndrom, or MEN 2B
467
Define: Heteroplasmy Example of:
One or more types of mitochondrial DNA accounting for variable expression of Mitochondrial disease DNA is both normal AND MUTATED Ex: Mycoclonic Epilepsy with Ragged Red Fibers (MERFF)
468
Define: Variable Expression Example of:
AKA: expressivity Situation where people have same disease genotype but DIFFERENT symptoms Ex: 1) Marfan's Syndrome Ex: 2) Neurofibromatosis Type 1
469
Normal chest
No structural deformities or visible retractions
470
Barrel Chest
Increased AP diameter
471
Pigeon chest
Anterior displacement of sternum
472
Funnel Chest
Depressed lower sternum
473
Throacic-Kypho-Scoliosis
Raised shoulder/scapula, thoracic convexity, and flared interspaces
474
Three groups of respiratory muscles
1) Diaphragm 2) Rib cage muscles 3) Abdominal muscles
475
Muscles of inspiration
1) SCM 2) Scalenes 3) Pectoralis minor 4) Pectoralis major 5) Serratus anterior 6) External intercostals
476
Muscles of Expiration
1) Internal intercostals 2) External Obliques 3) Internal Obliques 4) Transversus abdominis
477
Conducting Portion of Respiratory System:
Nasal cavities Pharynx Larynx Trachea Bronchi Bronchioles Terminal Bronchioles
478
Respiratory Portion of Respiratory System:
Respiratory Bronchioles Alveolar Ducts Alveolar Sacs Alveoli
479
Anatomy of R Lung
2 Fissures - oblique and horizontal 3 lobes: superior, inferior, and middle
480
Anatomy of L Lung
1 fissure - Oblique 2 lobes - Superior and inferior Cardiac notch - where the heart resides Lingula - most anterior portion of Superior lobe; right near apex of heart