week 4 Flashcards

(13 cards)

1
Q

Define yt for stock price using GARCH

A
How well did you know this?
1
Not at all
2
3
4
5
Perfectly
2
Q

Properties of continuously compounded returns

A

Symmetric dist about mean for yt (drift)

Little autocorrelation in yt (hence ARMA inappropriate)

Strong autocorrelation in yt2

Variable volatility: local variance of process changes substantially across time

How well did you know this?
1
Not at all
2
3
4
5
Perfectly
3
Q

Formula for kurtosis

A
How well did you know this?
1
Not at all
2
3
4
5
Perfectly
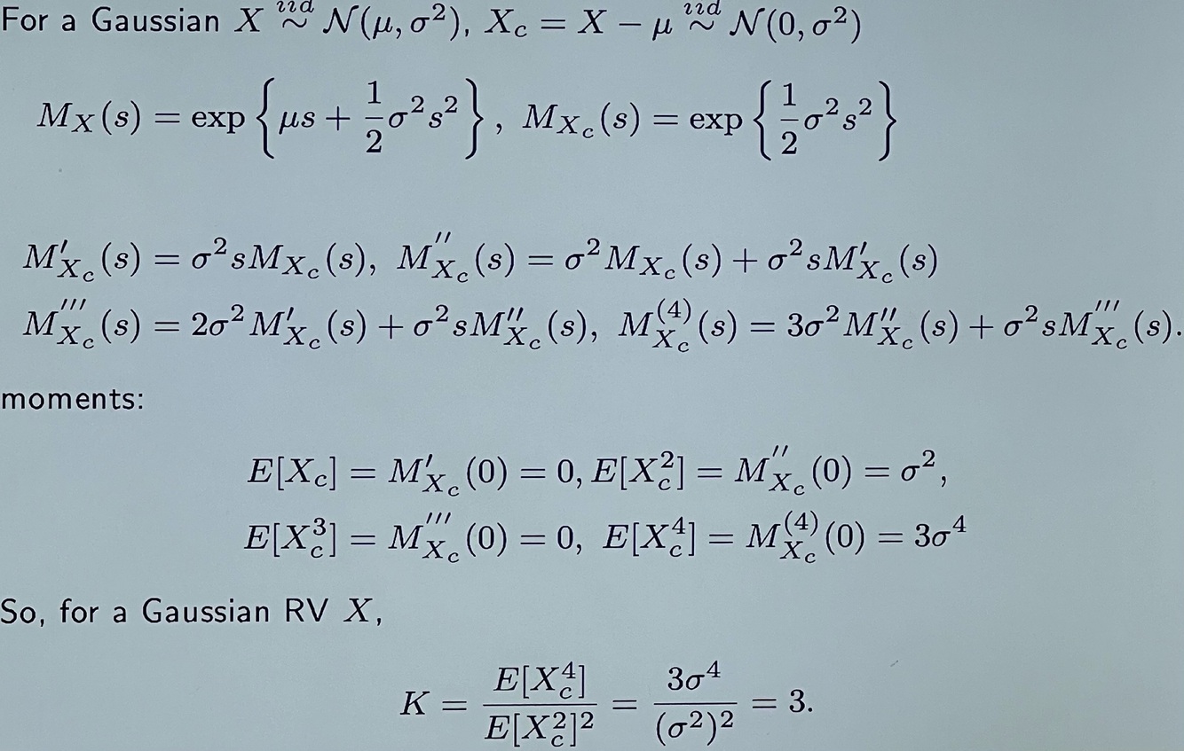
4
Q

Calculate MGF for Gaussian RV

A
How well did you know this?
1
Not at all
2
3
4
5
Perfectly
5
Q

ARCH model

A

Crucially (G)ARCH models are defined by BOTH equations (which makes conversion to ARMA easier)

How well did you know this?
1
Not at all
2
3
4
5
Perfectly
6
Q

GARCH(p, q)

A
How well did you know this?
1
Not at all
2
3
4
5
Perfectly
7
Q

When to use EGARCH and why

A

When you suspect neg shocks may have diff effect size to pos shocks

When you don’t want to constrain params to no negativity (as log allows neg)

For modelling volatility

If you suspect volatility shocks have a large lasting impact, due to long memory of model

How well did you know this?
1
Not at all
2
3
4
5
Perfectly
8
Q

Express GARCH(1,1) as ARMA(1,1)

A

vt is a martingale difference (E = 0)

How well did you know this?
1
Not at all
2
3
4
5
Perfectly
9
Q

Estimation with GARCH and why

A
How well did you know this?
1
Not at all
2
3
4
5
Perfectly
10
Q

Significance of Kurtosis

A

In ARCH or GARCH models, if standardised residuals have high kurtosis it suggest that model may not be capturing dynamics of time series

How well did you know this?
1
Not at all
2
3
4
5
Perfectly
11
Q

Generally when to use ARCH and GARCH

A

When time series exhibits volatility clustering, periods of high volatility followed by low volatility

How well did you know this?
1
Not at all
2
3
4
5
Perfectly
12
Q

Finding γ or ρ for (G)ARCH models

A

Put into ARMA form as it is easier (?)

How well did you know this?
1
Not at all
2
3
4
5
Perfectly
13
Q

EGARCH in ARMA form

A

g(x) = ωx + λ(|x| - Eφ|x|)

How well did you know this?
1
Not at all
2
3
4
5
Perfectly