Week 9 Flashcards

(24 cards)

1
Q

General z statistic

A
How well did you know this?
1
Not at all
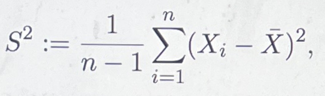
2
3
4
5
Perfectly
2
Q

Pooled variance

A
How well did you know this?
1
Not at all
2
3
4
5
Perfectly
3
Q

When to use 2 sample tests

A

2 independent random samples
Hypothesise that mean of first if less than mean of second
Therefore H_0 is means are equal

How well did you know this?
1
Not at all
2
3
4
5
Perfectly
4
Q

Deduce z test stat for two sample test

A
How well did you know this?
1
Not at all
2
3
4
5
Perfectly
5
Q

Z stat for comparing proportions

A
How well did you know this?
1
Not at all
2
3
4
5
Perfectly
6
Q

Testing ‘no difference’ for comparison of proportions (z)

A
How well did you know this?
1
Not at all
2
3
4
5
Perfectly
7
Q

z test requires you to know

A

Population sd

How well did you know this?
1
Not at all
2
3
4
5
Perfectly
8
Q

Dist of Xbar ? Biased? Consistent?

A

Unbiased , consistent

How well did you know this?
1
Not at all
2
3
4
5
Perfectly
9
Q

Estimator for variance? Biased? Consistent?

A

Unbiased , consistent

How well did you know this?
1
Not at all
2
3
4
5
Perfectly
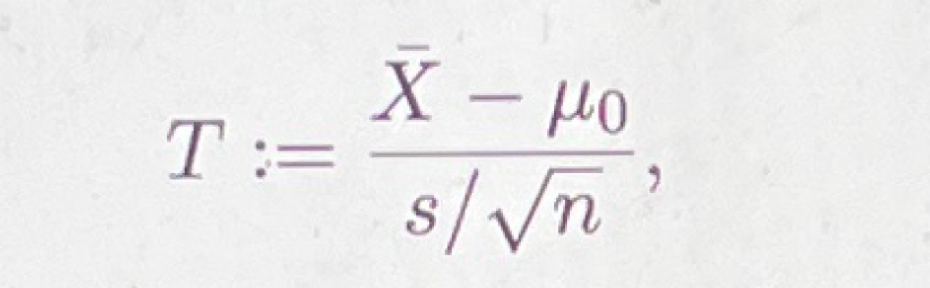
10
Q

Form T stat, which dist

A

Takes t dist w (n-1) degrees of freedom

How well did you know this?
1
Not at all
2
3
4
5
Perfectly
11
Q

2 sample t test? Null? Initial z?

A
How well did you know this?
1
Not at all
2
3
4
5
Perfectly
12
Q

Pooled estimator for 2 sample t test

A
How well did you know this?
1
Not at all
2
3
4
5
Perfectly
13
Q

Replace pooled estimator in z test for 2 sample t test

A
How well did you know this?
1
Not at all
2
3
4
5
Perfectly
14
Q

Place W into T test? Why? How?

A
How well did you know this?
1
Not at all
2
3
4
5
Perfectly
15
Q

Relate α % confidence interval to null hypothesis

A

Confidence interval is the set of value for the parameter which would not have caused us to reject the null at the (1-α)% confidence level

How well did you know this?
1
Not at all
2
3
4
5
Perfectly
16
Q

Denote the test stat to reject the null hypothesis μ=μ_0 at the 5% confidence level and the associated dist

17
Q

Draw Z test, T test decisión tree

18
Q

At what n does t dist become practically same as z

19
Q

Χ^2 test is more useful for

A

Categorical data

20
Q

Χ^2 statistic

A

Where n_i is the # of observations in category I
p_i is probability of each n trial being in category i

Basically (actual - expected)^2 / expected

21
Q

Expected count in each category for χ^2 test should always be

22
Q

Goodness of fit

A

To check using χ^2 wether a model (eg poussin) or categories fit

23
Q

What is α for ‘Significant level’?

24
Q

What is α for ‘highly Significant level’?