MODEL ANSWER:
A (hypothetical) distribution of the values for a statistic obtained by computing the statistic in each one of a large number of samples.
A sampling distribution or finite-sample distribution is the probability distribution of a given statistic based on a random sample. Sampling distributions are important in statistics because they provide a major simplification en route to statistical inference. More specifically, they allow analytical considerations to be based on the sampling distribution of a statistic, rather than on the joint probability distribution of all the individual sample values.
The standard deviation of this statistic is called the standard error.
The standard error (SE) is the standard deviation of the sampling distribution of a statistic, most commonly of the mean.
MODEL ANSWER:
Take the sample S.D. and divide it by the square root of the sample size.
Other stuff..
The standard error (SE) is the standard deviation of the sampling distribution of a statistic, most commonly of the mean.
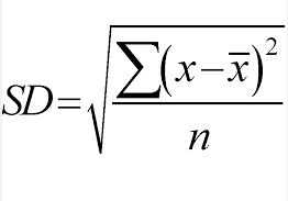
Step 1: Calculate the mean (Total of all samples divided by the number of samples).
Step 2: Calculate each measurement’s deviation from the mean (Mean minus the individual measurement).
Step 3: Square each deviation from mean. Squared negatives become positive.

Normal -
A bell curve - this will change depending on the sample n

A bell curve with z = 0 in the middle going out to z = -2 and more..

2.5% 0r .025

5% or .05

It has flatter broader tails..
When n≥30, the sampling distribution of the sample mean becomes normal. If n≤30, the skewness of the population could influence the shape of the sampling distribution and make it not normal.
The t-statistic distribution may be lumpy from skewness due to low sample size