Fruktoza

Laktuloza

Tragakanta
Tragacantha - Astragalus gummifer - Fabaceae
… - Traganek gumodajny - Bobowate
Surowiec gumowy
Emulgens, laxans
Klacze perzu - perz właściwy - wiechlinowate
Agropyri rhizoma - Agropyron repens - Poaceae
… - Perz właściwy - Wiechlinowate
Surowiec inulinowy
Diagnostyka chorób nerek, prebiotyk, gastrotonicum, odchudzanie
Celuloza

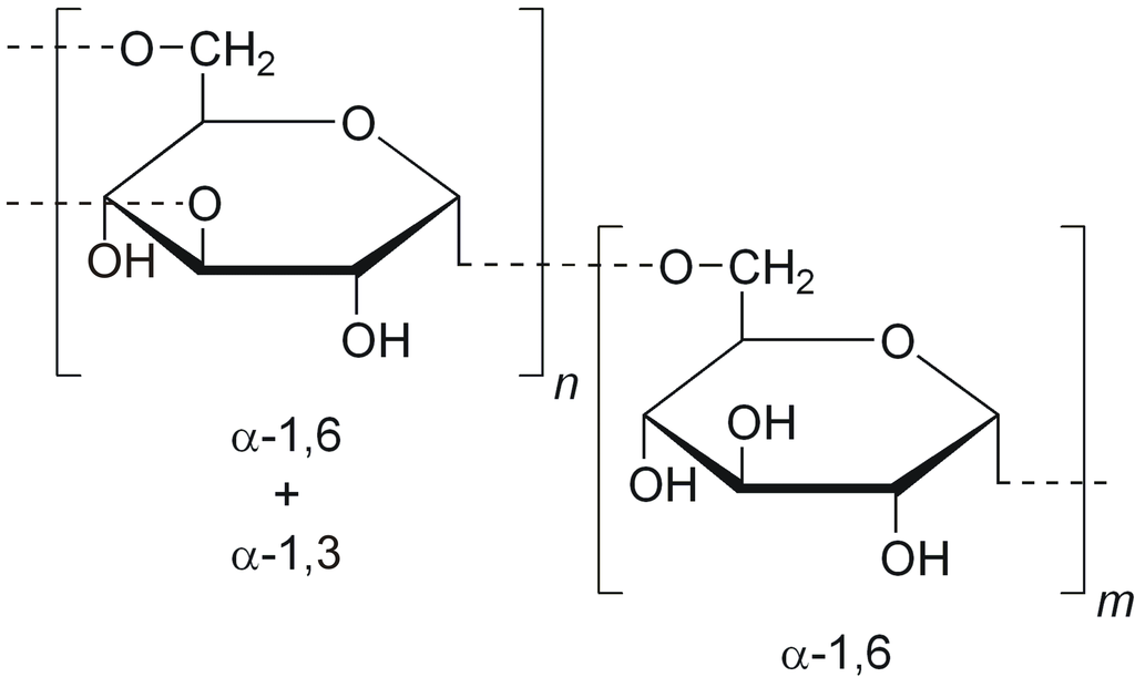
Dekstran

Nasienie kozieradki
Foenugraeci semen - Trigonella foenum-graecum - Fabaceae
… - Kozieradka pospolita - Bobowate
Surowiec śluzowy
Tonicum, mucoprotectivum, obniża cholesterol, obniża poziom cukru
Galaktoza

Inulina

Nasienie pigwy - pigwa pospolita - rosaceae
Semen cydoniae - cydonia oblonga - różowate Przeczyszczający, przeciwzapalny
Laktitol

Liść/kwiat ślazu dzikiego
Malvae sylvestris folium/flos - Malva sylvestris - Malvaceae
… - Ślaz dziki - Ślazowate
Surowiec śluzowy
Lichenina

Guma ksantowa - bakteria
Gummi xanthani - Xanthomonas campestris - Xanthomonadaceae Lepiący
Nasienie lnu
Lini semen - Linum usitatissimum - Linaceae
… - Len zwyczajny - Lnowate
Surowiec śluzowy
Laxans, mucilaginosum protectivum, roborans, emoliens
Agar - agar - krasnorosty
Agar - Agar - Rhodophyta
… -… - Krasnorosty
Surowiec galaktanowy
Laxans (pochłanianie wody i pęczenienie, zwiększające objętość treści pokarmowej oraz stymulujący mięśniówkę jelit, poprawiający perystaltykę i ułatwiający wypróżnianie)
Sacharoza

Skrobia ziemniaczana - ziemniak - psiankowate
Solani amylum - Solanum tuberosum - Solanaceae
… - Psianka ziemniak - Psiankowate
Surowiec skrobiowy
Nutriens, antidiarrhoica/laxans , antiphlogisticum,
Wata bawełniana oczyszczona - bawełna indyjska - ślazowate
Gossypium depuratum - Gossypium arboreum - Malvaceae
… - Bawełna drzewiasta - Ślazowate
Surowiec celulozowy
Ramnoza
6-dezoksymannoza

Chrzęsło
Carragen - Chondrus crispus - Rhodophyta
… - Chrzęstnica kędzierzawa - Krasnorosty
Surowiec karagenowy
Antiphlogisitcum, laxans,
Guma akacjowa
Acaciae gummi - Acacia senegal - Mimosaceae
… - Akacja senegalska - Mimozowate
Surowiec gumowy
Corrigens, emulgens,
Celobioza

Glukoza
