What is a parmetric test?
T test is based on estimating parameters from the sample (e.g. sample mean).
What is a non-parametric test?
compares the ranks of values instead of the values themselves.
What is the Mann-Whitney U Test?
nonparametric version of the independent-samples T test

What does the Mann-Whitney U Test test?
whether two distributions are the same.
What is the null hypothesis in the Mann-Whitney U Test?
No difference between the means of two groups.
What are the assumptions in the Mann-Whitney U Test?
The two distributions have the same shape and scale. But it does not assume the two distribution to have the same location.
What can affect the Mann-Whitney U Test? What can be done?
Outliers affect the means. Can remove outliers and run Mann-Whitney U test again.
What is the intepretation of the Mann-Whitney U Test?

What is ANOVA?
uses F-tests to test the equality of means.
What are 4 “steps” in ANOVA?
What does ANOVA stand for?
Analysis of Variance
What are 3 assumptions in ANOVA?
What are _____ in F tests?
What is R2?

What is the interpretation of ANOVA?

What do you first look at in interpretation of ANOVA?
First, look at test of homogeneity of variance to check whether the two groups have equal variance.
What do you look at second in interpretation of ANOVA?
Second, look at ANOVA.
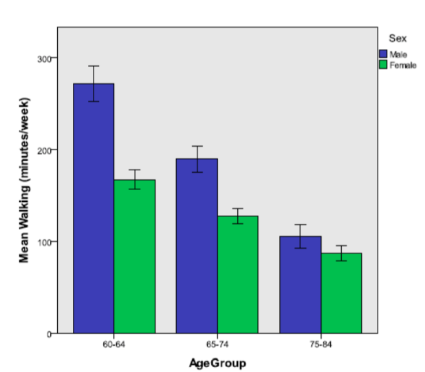
What are 2 things that this show (bars)?

What do these box plots show compared to bars?
Side by side boxplots show the variability even better.
What are 3 steps in the interpretation of the Wlech’s ANOVA?

What is normal variability? Why is it important? Small vs large sample?
What is a residual?
A residual is a prediction error, or in other words, the difference between the observed response and the response predicted by our model (e.g. mean response).
What are 2 reasons for using residuals?
What does black line and blue bubbles mean?
