WM Flashcards

(24 cards)

1
Q

Displayed formula of ethanoic acid

A
How well did you know this?
1
Not at all
2
3
4
5
Perfectly
2
Q

What is the name of this ester?

A

Methyl ethanoate

How well did you know this?
1
Not at all
2
3
4
5
Perfectly
3
Q

How are aldehydes produced?

A

From the oxidation and distillation of primary alcohols

How well did you know this?
1
Not at all
2
3
4
5
Perfectly
4
Q

Displayed formula of an aldehyde

A
How well did you know this?
1
Not at all
2
3
4
5
Perfectly
5
Q

How are ketones produced?

A

The oxidation of secondary alcohols with acidified potassium dichromate

How well did you know this?
1
Not at all
2
3
4
5
Perfectly
6
Q

What is the displayed formula of ketones?

A
How well did you know this?
1
Not at all
2
3
4
5
Perfectly
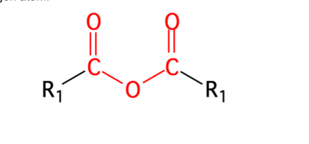
7
Q

What is the displayed formula for acid anhydrides?

A
How well did you know this?
1
Not at all
2
3
4
5
Perfectly
8
Q

What is the displayed formula for an ether?

A
How well did you know this?
1
Not at all
2
3
4
5
Perfectly
9
Q

What does a primary alcohol look like?

A

1 R group

How well did you know this?
1
Not at all
2
3
4
5
Perfectly
10
Q

What does a secondary alcohol look like?

A

2 R groups

How well did you know this?
1
Not at all
2
3
4
5
Perfectly
11
Q

How can phenols be indentified?

A

Add iron(III) chloride solution
Intense purple solution forms

How well did you know this?
1
Not at all
2
3
4
5
Perfectly
12
Q

Phenol + acid anhydride —> ?

A

Ester + carboxylic acid

How well did you know this?
1
Not at all
2
3
4
5
Perfectly
13
Q

What conditions are needed for esterification?

A

reflux
Concentrated sulfuric acid

How well did you know this?
1
Not at all
2
3
4
5
Perfectly
14
Q

What is the esterification reaction?

A

Alcohol + carboxylic acid —> ester + water

How well did you know this?
1
Not at all
2
3
4
5
Perfectly
15
Q

What is the equation for a primary alcohol being oxidised into an aldehyde?

A
How well did you know this?
1
Not at all
2
3
4
5
Perfectly
16
Q

What happens when an aldehyde is heated under reflux with potassium dichromate?

A

A carboxylic acids is formed

17
Q

What happens when a secondary alcohols are heated in the presence of acidified potassium dichromate?

A

Ketones are formed

18
Q

What happens to the potassium dichromate when it is used as an oxidising agent in the oxidation of alcohols?

A

It is reduced and turns from orange to green

19
Q

What colour is potassium dichromate in all of the types of alcohol?

A

Primary - green
Secondary - green
Tertiary - orange (not able to be oxidised)

20
Q

How can alkenes be formed?

A

Dehydration of alcohols
Heated under reflux
Concentrated sulfuric acid

21
Q

Diagram for reflux apparatus?

22
Q

What does the condenser do in the reflux apparatus?

A

Cause the vapour to condense and return to the flask for further heating

23
Q

What is used to separate liquids with different boiling points?

24
Q

Diagram of distillation apparatus